Validierung der Kanalsanierungsstrategie des bremischen Kanalnetzes auf der Basis von Alterungsmodellen
20.10.2017
Die Werterhaltung von Entwässerungssystemen stellt aufgrund der Langlebigkeit und Bedeutung der Anlagen eine generationenübergreifende Aufgabe dar. Um sicherzustellen, dass die Netzinstandhaltung, trotz laufender Alterungsprozesse und hoher Ansprüche, auch für nachfolgende Generationen finanzierbar bleibt, sind langfristige Netzbetrachtungen nötig. Im Projekt zur strategischen Sanierungsplanung auf Basis von STATUSKanal der S & P Consult GmbH wurde eine langfristige Betrachtung für das Entwässerungssystem der Freie Hansestadt Bremen durchgeführt.
1 Einleitung
Die hanseWasser Bremen GmbH (nachfolgend auch hWB genannt) betreibt und unterhält auf der Basis eines Leistungsvertrages das Kanalnetz der Freie Hansestadt Bremen (FHB) mit einer Gesamtlänge von ca. 2.400 km. Expliziter Bestandteil dieses Leistungsvertrages ist die Erhaltung eines leistungsfähigen Kanalnetzes. Grundlage hierfür ist eine vertraglich vereinbarte Sanierungsstrategie, die in der bestehenden Form bereits seit 1999 konsequent umgesetzt wird. Die Strategie basiert auf einer schadensorientierten Vorgehensweise mit verbindlich einzuhaltenden Sanierungsfristen für explizite Schadensbilder in Kombination mit definierten Sanierungsmaßnahmen. Der Sanierungsumfang wird durch das vertraglich festgelegte zehnjährige Inspektionsintervall festgelegt. Mit Hilfe eines methodisch fixierten Wirtschaftlichkeitsvergleiches (dynamische Kapitalwertmethode) wird die Art der Sanierung grundlegend festgelegt (Investition oder Instandsetzung). Der Bedarf an investiven Sanierungen (Erneuerungen und Renovierungen) wird über einen 5-Jahres-Zeitraum mit der Stadtgemeinde Bremen festgelegt (Investitionsrahmenpläne) und über Betriebsentgeltanteile für Abschreibungen und Zinsen refinanziert.
Ein weiterer Bestandteil des Leistungsvertrages ist die Überprüfung der umgesetzten Sanierungsstrategie im Hinblick auf ihre Wirksamkeit und gegebenenfalls deren zielgerichtete Anpassung. In diesem Zusammenhang reicht seitens der hWB ein Soll-Ist-Vergleich bezüglich der Abarbeitung der vertragsrelevanten Schäden, sprich die Beseitigung der Defizite aus der Vergangenheit, nicht aus. Vielmehr bedarf es bei einer Wirksamkeitsanalyse der Vorausschau. Denn es ist zu gewährleisten, dass heute die richtigen Entscheidungen für morgen getroffen werden. Diese Aussage steht im Einklang mit der Forderung des DWA-A (E) 143-14 [1] „die langfristige Substanzwertentwicklung eines Netzes, basierend auf seinem heutigen bzw. geplanten Investitionsverhalten, zu prüfen, um Defizite frühzeitig zu erkennen und ggf. frühzeitig Korrekturen durchzuführen“.
Um diese Vorausschau zu ermöglichen, reichen die klassischen Mittel der Investitionsplanung nicht aus. Gründe dafür sind die im Vergleich zu anderen Investitionsgütern langen Nutzungsdauern der Netzobjekte, deren Heterogenität sowie die in der Praxis häufig mehr oder weniger kontinuierlichen Sanierungsprozesse. Zudem liegt im Allgemeinen das Hauptaugenmerk bei der Planung oftmals auf der Optimierung der Investitionsentscheidung für einzelne Objekte und nicht in der Optimierung der Gesamtheit aller anstehenden Sanierungsentscheidungen für die nächsten Jahre und Jahrzehnte. Der hierfür notwendige konzeptionelle Sprung von der operativen auf die strategische Ebene ist mit vertretbarem Aufwand nur durch den Einsatz von entsprechend geeigneten mathematischen Modellen zu lösen. Aus diesem Grund kam das stochastischen Alterungsmodel STATUSKanal der S & P Consult GmbH (nachfolgend auch S&P genannt), Bochum zum Einsatz. Das Modell dient zur Analyse, Entwicklung und Optimierung von Investitions-, Sanierungs- und Strategiekonzepten für Entwässerungssysteme [2, 3, 4, 5, 6].
Der Leistungsumfang umfasste das Datenmanagement und die Plausibilitätsprüfung der übergebenen Netzdaten, die Zustands- und Substanzklassifizierung auf Basis der aktuellsten Inspektionsdaten, die Modellierung der Netzalterung, die Restnutzungsdauerprognose zur Darstellung des zu erwartenden Sanierungsbedarfs, die Abbildung des gegenwärtigen Sanierungsvorgehens der hWB, die Prognose der zukünftigen Netzentwicklung und die Entwicklung alternativer Sanierungsstrategien sowie die Darstellung der Auswirkungen auf wesentliche technische Kennzahlen. Hierbei wurden in Abhängigkeit verschiedener Szenarien folgende Bewertungsgrößen ermittelt: Netzzustand/-Substanz, Sanierungskosten, mittlere Restnutzungsdauer, Index Anlagevermögen und Substanzwert.
Die nachfolgenden Ausführungen stellen die Projektergebnisse vor. Ziel war es, die langfristigen Auswirkungen verschiedener Strategien zu vergleichen und damit auf iterativem Wege eine Grundlage für die Bewertung von unterschiedlichen Handlungsalternativen sowie für die Einordnung ggf. notwendiger Strategieanpassungen zu erarbeiten.
2 Zustands- und Substanzbewertung
Die hWB verfügt dank der flächendeckenden Inspektion des Entwässerungssystems der Freie Hansestadt Bremen über einen umfangreichen Datenfundus, der zum großen Anteil auch schon Daten der Zweitinspektion beinhaltet. Für die Sicherstellung belastbarer Aussagen und einer entsprechenden Analysequalität war eine umfassende Prüfung und ggf. Korrektur der in der Analyse verwendeten Daten notwendig. Die Deutsche Vereinigung für Wasserwirtschaft, Abwasser und Abfall e. V. (DWA) fordert im Merkblatt DWA-M 149-3 die Plausibilität der Stamm- und Zustandsdaten, formuliert aber die Anforderungen nur allgemein. Innerhalb des durchgeführten Untersuchungsprogramms wurde mit Hilfe umfangreicher analytischer Prüfalgorithmen eine mehrstufige Plausibilitätsprüfung durchgeführt. Dabei wurden Stamm- und Zustandsdaten auf Vollständigkeit sowie formale und logische Richtigkeit geprüft. Als inkonsistent identifizierte Daten wurden entsprechend korrigiert. Die Prüfung umfasste eine statistische Auswertung der Grunddaten, d. h. eine formale Plausibilitätsprüfung und eine logische Plausibilitätsprüfung. Insgesamt konnte hierdurch die bereits vorhandene sehr gute Datenqualität zusätzlich für die anstehenden Analysen optimiert werden.
Die ingenieurmäßige Beurteilung des baulichen / betrieblichen Zustandes des Entwässerungssystems war unterteilt in die Arbeitsschritte Zustandsklassifizierung, -bewertung und -beurteilung unter Berücksichtigung der gestellten Anforderungen bzw. Schutzziele sowie der maßgeblichen Einflussfaktoren und Randbedingungen. Die Zustandsklassifizierung definiert DWA-Merkblatt 149 Teil 3 [7] als „Einstufung der Ergebnisse der Inspektion durch Vergleich mit den gestellten Anforderungen“. Bei der Einstufung jedes einzelnen Schadens wurden die Stammdaten des Objektes (Haltung) mit den Zustands-/Schadensbeschreibungen verknüpft und mindestens die Schadensart sowie das Schadensausmaß ausgewertet.
Im Rahmen der Zustandsbewertung wurden die Ergebnisse der Zustandsklassifizierung mit maßgeblichen Einflussfaktoren bzw. leitungsspezifischen Randbedingungen im Umfeld des Einzelschadens verknüpft. Ihre Berücksichtigung erlaubt, das Ergebnis der Zustandsklassifizierung nicht nur in Bezug ihrer Auswirkungen auf die Schutzziele besser zu differenzieren, sondern insbesondere auch eine bessere Abschätzung des Gefährdungspotenzials des Einzelzustands zu ermöglichen [5].
Durch diese Vorgehensweise wurde eine - gegenüber der diskreten Bewertung - differenziertere Rangreihung der ermittelten Zustands- und Substanzklassen ermöglicht und das Risiko minimiert, Haltungen mit unterschiedlichen Sanierungsdringlichkeiten pauschal zusammenzufassen (Abbildung 1).
Zusätzlich wurde gemäß DWA-M 149-3 die Relevanz eines jeden Schadens in Bezug auf die drei grundlegenden Anforderungen (Schutzziele) an Entwässerungssysteme Dichtheit (D), Standsicherheit (S) und Betriebssicherheit (B) ermittelt. Dadurch wurde ausgeschlossen, dass die nachfolgende Substanzbewertung durch „Substanz irrelevante Schäden“ ungünstig verzerrt wurde.
Eines der wichtigsten baulichen Entscheidungskriterien, die im Rahmen dieses Projektes für die Ermittlung der Substanzwertentwicklung benötigt wurden, stellt die sogenannte Substanzklasse dar (Abbildung 2). [6, 9, 10, 11, 12, 13]
Abbildung 2: Arbeitsablauf des Moduls Objektbewertung bei STATUSKanal [8] [Quelle: S & P Consult GmbH]
Die Substanz(klasse) als Maß der noch innewohnenden Funktionserfüllung (Abnutzungsvorrat) ist ein maßgebliches Kriterium für die Abschätzung der Restnutzungsdauer des Objektes. Darüber hinaus hilft sie bei der Beantwortung der Frage, welche Sanierungsmaßnahme notwendig ist, d. h. wie ökonomisch sinnvoll eine Reparatur, Renovierung oder Erneuerung im Hinblick auf die noch zu erwartende Restnutzungsdauer des untersuchten Objektes ist (Abbildung 2 und Abbildung 3). Die Substanz stellt somit den Abnutzungsvorrat eines Kanalnetzes oder einer Haltung unter der Berücksichtigung des Alters und ggf. vorhandener Mängel dar, welcher in DIN 31051 [14] als „Vorrat der möglichen Funktionserfüllungen unter festgelegten Bedingungen, der einem Objekt aufgrund der Herstellung und Instandhaltung innewohnt“, beschrieben ist.
Diese real vorhandene bauliche Substanz wurde im Rahmen des Projektes unter Verwendung eines fünfstufigen, fuzzifizierten Klassenmodells abgebildet und ist damit hinsichtlich der Einstufung des Sanierungsaufwandes mit den Prioritätsklassen für die Sanierungsdringlichkeit vergleichbar.
Die Substanzklasse eines Objektes wird für jedes der Schutzziele (Standsicherheit, Betriebssicherheit und Dichtheit) zum Zeitpunkt der Inspektion ermittelt. Bei der Darstellung „Alle Anforderungen“ sind alle drei Schutzziele einbezogen und jeweils der auf Haltungsebene kritischste Gefährdungsaspekt erfasst. Die Substanzklassenverteilung der Haltungen ist in Abbildung 4 dargestellt.
Abbildung 4: Substanzklassenverteilung der untersuchten Haltungen des bremischen Kanalnetzes bezogen auf alle Anforderungen (Inspektionszeitpunkt) [15] [Quelle: S & P Consult GmbH]
Nach der umfassenden Bewertung der Ist-Situation zum Zeitpunkt der Zustandserfassung und der Erstellung des Alterungsmodells für das Entwässerungsnetz wurde die gegenwärtige Ist-Situation bestimmt. Mittels einer Prognose auf das aktuelle Jahr wurden die Zustandsdaten auf einen einheitlichen Zeithorizont fortgeschrieben. Diese Gegenwartsprognose lieferte die wesentliche Grundlage für eine Analyse der wahrscheinlichen Ist-Situation des Entwässerungssystems der Stadt Bremen und damit für die Strategieentwicklung. Alle nachfolgenden Analysen basierten auf dieser Gegenwartsprognose, also der wahrscheinlichen Netzsituation zum Startpunkt der modellbasierten Betrachtung.
3 Bestimmung der Restnutzungsdauern
Die Ermittlung der Restnutzungsdauer (Restnutzungsdaueranalyse) erfolgte individuell für jede Haltung durch Prognose der Zustands- und Substanzentwicklung bis zum Ende des Prognosezeitraumes bzw. bis zu dem Zeitpunkt, ab dem das Objekt erneuerungsbedürftig ist, d. h. die Ausfallwahrscheinlichkeit der gegenständlichen Haltung einen bestimmten Grenzwert erreicht hat. Grundlage für diese Prognose bildete die Annahme einer ungestörten Netzalterung, d. h. es erfolgt keine Intervention durch Sanierungsmaßnahmen. Diese Annahme ist in analytischer Hinsicht von großer Bedeutung, da nur so die Geschwindigkeit des netzspezifischen Alterungsprozesses anschaulich beschrieben werden kann. Der Zeitraum bis zum weitgehenden Verbrauch des Abnutzungsvorrates der Haltung (Substanzklasse 5) stellt die objektspezifische, individuelle Restnutzungsdauer dar. Mit der Restnutzungsdauer ist dabei nicht die maximale erreichbare Nutzungsdauer, sondern die verbleibende betriebsgewöhnliche Nutzungsdauer gemeint, nach deren Ablauf die Haltungen zur Vermeidung überdurchschnittlich hoher Ausfallrisiken in aller Regel saniert werden müssen. Abbildung 5 zeigt das Ergebnis einer solchen Restnutzungsdaueranalyse. Hier sind alle Haltungen (differenziert nach Werkstoffen) aufgeführt, bei denen die Ausfallwahrscheinlichkeit den Grenzwert von 50 % überschreitet. Während kurzfristig nur wenige Haltungen das Ende ihrer Restnutzungsdauer erreichen, steigt die Länge erneuerungsbedürftiger Haltungen in den nächsten Jahrzehnten deutlich an.
Abbildung 5: Längenanteil für das bremische Kanalnetz auf Basis der Restnutzungsdauerermittlung bei einer 50 %-Ausfallwahrscheinlichkeit (Bezugsjahr 2014) [15] [Quelle: S & P Consult GmbH]
4 Sanierungsstrategien - Prognose der zukünftigen Netzentwicklung
Aufbauend auf den vorangegangenen Arbeitsschritten wurden verschiedene Sanierungsstrategien für das Kanalnetz entwickelt, welche nachfolgend dargestellt, erläutert und ausgewertet werden. Eine wesentliche Fragestellung in der Planungspraxis besteht darin, ob mit dem verfügbaren Sanierungsbudget und der bisherigen Sanierungspraxis die Anforderungen bspw. an die Entsorgungssicherheit, den Substanzerhalt oder die Gebührenstabilität dauerhaft erfüllt werden können. Hierzu sind die bauliche Netzentwicklung unter Berücksichtigung der strategiebedingten Baumaßnahmen sowie der einhergehenden Alterungsprozesse langfristig zu beurteilen (vgl. DWA-A 143-14 [1]).
Dabei handelt es sich um Grundsatzstrategien, die sich hinsichtlich des Sanierungsbudgets oder der Art des Eingreifens, also der Sanierungsart, in Abhängigkeit der Objektsubstanz unterscheiden. Die Strategieauswertungen werden für folgende Strategien durchgeführt:
4.1 Nichtstun-Strategie (Referenzstrategie I / untere Grenze)
Das Nichtstun stellt keine ernsthafte Planungsoption und damit keine Strategie im eigentlichen Sinne dar. Die Budgets sind auf Null gesetzt und es erfolgen keine Sanierungsmaßnahmen. Die Nichtstun-Strategie ist dennoch als Referenzgröße bei Wirkungsanalysen von großer Bedeutung, da sie die Geschwindigkeit des ungestörten Alterungsprozesses anschaulich beschreibt und zudem den Suchraum für strategische Handlungsoptionen nach unten begrenzt.
4.2. (Konstante Substanz) Substanz-69-Strategie (Referenzstrategie II / obere Grenze)
Zum Zeitpunkt der Analyse wies das bremische Kanalnetz eine Substanz von 69 % auf, d. h. 31 % des vorhandenen Abnutzungsvorrates sind aus baulicher Sicht bereits aufgebraucht. Zur Begrenzung des Lösungsraumes nach oben wurde der Erhalt der Substanz bei 69 % gewählt. Die Substanz-69-Strategie beruht im Wesentlichen auf der nachfolgend beschriebenen Weiterso-Strategie (vgl. Abschnitt 4.3). Eine zusätzliche Zielstellung dieses Strategiedurchlaufes war es, die Sanierungskosten für einen konstanten Substanzverlauf von 69 % (mittlere Substanzwert / Abnutzungsvorrat des Netzes) zu ermitteln. Daher gab es für diesen Strategiedurchlauf keine Limitierung von Budget und Sanierungslängen.
Ohne Begrenzung des Budgets oder der Sanierungslängen stellt die Substanz-69-Strategie allerdings keine realistische Planungsoption und damit keine Strategie im eigentlichen Sinne dar. Sie liefert aber als wichtige Referenzgröße für die Wirkungsanalysen mit anderen Strategien die wahrscheinlich benötigten Ressourcen für den Erhalt des vorhandenen Abnutzungsvorrats des Netzes (in diesem Fall 69 %).
4.3 Weiterso-Strategie (Referenzstrategie III)
Diese Strategie impliziert, dass die bisherige Sanierungspraxis der hWB für die Zukunft fortgeschrieben wird. Es wird also untersucht, wie sich das Netz bei unverändertem Handeln (schadensorientiert) und den aktuellen Budgets entwickelt. Um diese Strategie entsprechend abbilden zu können, wurden die gegenwärtigen Sanierungsvorgaben und Entscheidungsprozesse durch einen Fragenkatalog und in Gesprächen erfasst und in einem umfangreichen Regelbaum fixiert. Die Weiterso-Strategie stellt die wichtigste Referenzstrategie dar, da mit ihrer Hilfe das bisherige Vorgehen analysiert und auf seine Zukunftsstabilität und Nachhaltigkeit untersucht werden kann. Damit wird ein Bezugssystem geschaffen, das es ermöglicht, die Effektivität von Alternativstrategien zu überprüfen. Insbesondere die Tatsache, dass zunehmend Haltungen vergangener Bauperioden den Status der Sanierungserfordernis erreichen, macht es notwendig, den wahrscheinlichen zukünftigen zeitlichen Verlauf sowie den Umfang der Sanierungsaktivitäten in geeigneter Weise zu bestimmen. Mit den Erkenntnissen einer solchen Analyse ist es im Anschluss möglich, eine langfristig gesicherte Optimierung der aktuellen Vorgehensweise zu gewährleisten.
4.4 Substanz-Strategie
Die Substanz-Strategie beruht nicht auf der oben beschriebenen schadensorientierten Weiterso-Strategie. Diese Strategie wurde gewählt, um losgelöst vom etablierten Vorgehen nach Leistungsvertrag in Bremen zu sehen, wie ein davon „unabhängiges“ Vorgehen aussehen kann. Folgende Randbedingungen wurden geändert:
- Einsatz einer Sanierungsentscheidungsmatrix
- Einsatz einer Prioritätenmatrix
- Baulosbildung wie bei der Weiterso-Strategie
Anstelle der Sanierungslängen (Weiterso-Strategie) wurden die Budgets begrenzt. Die Budgets basieren auf der Kostenermittlung im Rahmen der Weiterso-Strategie, so dass sich beide Strategien diesbezüglich ähnlich sind. Zugehörige Budgetwerte wurden als maximale jährliche investive bzw. maximale jährliche Reparaturbudgets in der Substanzstrategie festgelegt. Der Anteil des Renovierungsbudgets am investiven Budget wurde gegenüber der Weiterso-Strategie von 40 % auf 50 % erhöht.
4.5 Ergebnisse der Strategieprognosen
Im Folgenden werden die Ergebnisse der Strategieprognosen vorgestellt. Die Strategieprognosen erfolgten auf Haltungsebene für einen Prognosehorizont bis 2040. Anhand der prognostizierten Verläufe der verschiedenen Netzkennzahlen (z. B. Substanz, Dringlichkeit, Sanierungslängen- / kosten) wurde die Wirksamkeit der formulierten Strategien beurteilt.
Substanzentwicklung
Mit einem Durchschnittsalter von etwa 44 Jahren befindet sich das bremische Kanalnetz rein statistisch bezogen auf die tatsächlich festgestellte betriebsbedingte Nutzungsdauer von 78 Jahren (dieser Wert wurde im Zeitraum 1999-2014 auf der Basis von durchgeführten Sanierungen ermittelt) in der zweiten Hälfte seiner Nutzungsdauer (Abbildung 6). Seine potenzielle Nutzungsdauer wäre nach der DWA-Definition für Substanzwerte bereits zu mehr als 50 % aufgebraucht. Aufgrund der regelmäßigen Instandhaltung des Kanalnetzes ist es jedoch in Bremen gelungen, die Substanz des Kanalnetzes zum Zeitpunkt 2014 so zu erhalten, dass ein Gesamtabnutzungsgrad von lediglich 31 % vorliegt. [16]
Abbildung 6: Prinzipieller Vergleich dre mittleren Substanz nach STATUS und DWA M 143-14 [16] [Quelle: hanseWasser Bremen GmbH]
Die Abbildung 7 zeigt die Entwicklung der baulichen Substanz bzw. des Abnutzungsvorrates des Entwässerungssystems bis zum Jahr 2040 infolge des Einflusses der verschiedenen Strategien. Obwohl die mittlere Substanz nicht als alleiniges Kriterium zur Bewertung eines Netzes heranzuziehen ist, kann dieser Wert doch als grobe Vergleichsgröße eingesetzt werden.
Im Vergleich zu anderen Netzen, die S&P in der Vergangenheit untersucht hat, gilt in der Regel eine mittlere Substanz von mehr als 60 % als Kenngröße für ein Netz mit guter Substanz. Die vorhandene Substanz des bremischen Kanalnetzes kann in diesem Sinne somit als gut bis sehr gut bewertet werden.
In Abhängigkeit der jeweiligen Strategien entwickelt sich die Substanz des Kanalnetzes sehr unterschiedlich (Abbildung 7). Die „Nichtstun-Strategie“ führt zu einem Substanzverzehr von 17 % bis zum Jahr 2030 und von ca. 31 % bis zum Ende der Strategielaufzeit (2040). Die „Weiterso-Strategie“ führt hingegen zu einem Substanzverzehr von ca. 6 % bis zum Jahr 2030 und 15 % bis 2040 und hat damit bereits eine, bezogen auf die Substanz deutlich erhaltende Wirkung gegenüber der „Nichtstun-Strategie“.
Die alternativ zur „Weiterso-Strategie“ entwickelte „Substanz-Strategie“ führt zu einem Substanzverzehr von 3 % bis 2030 und von 9 % bis 2040.
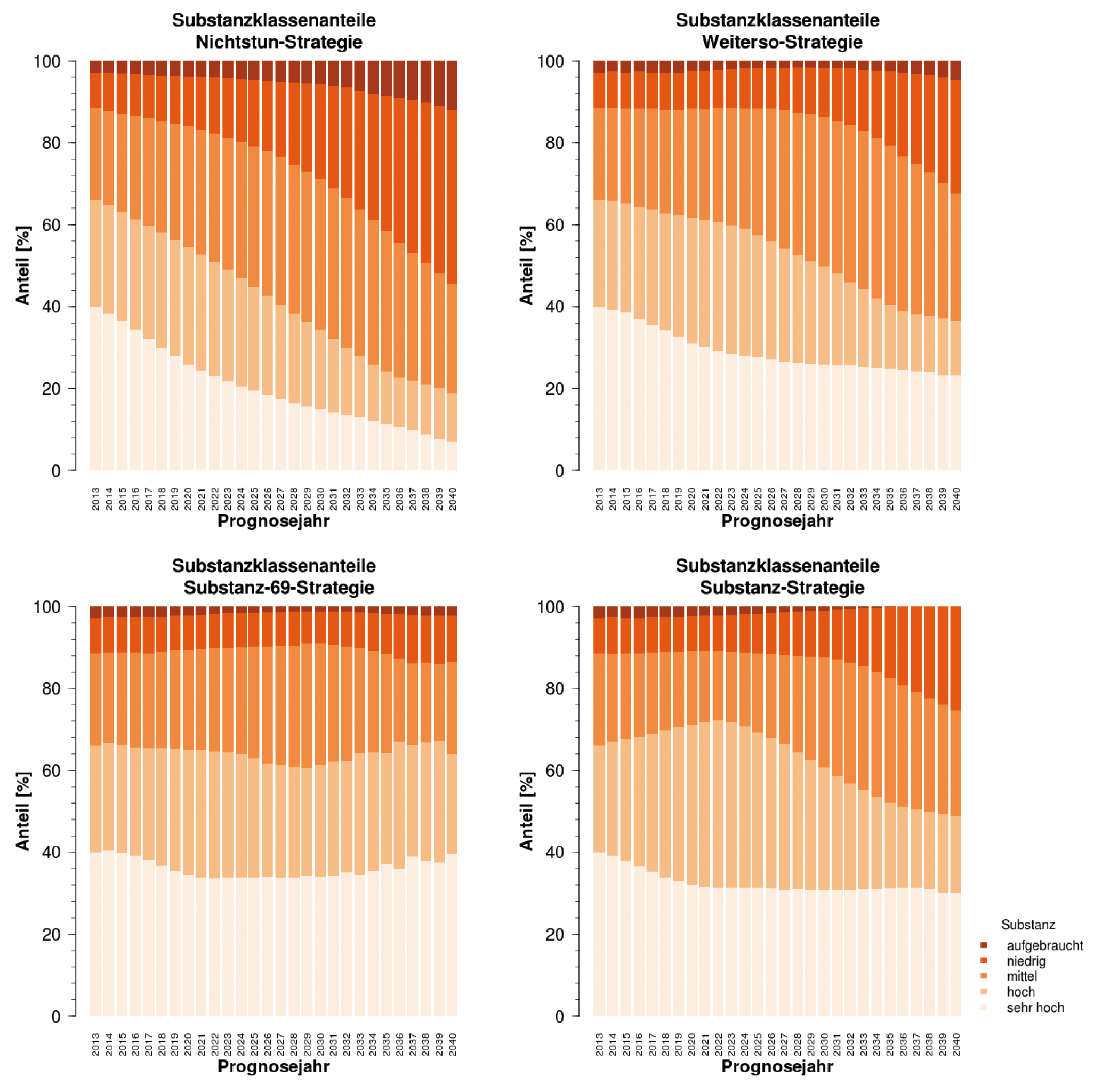
Grundsätzlich ist darauf hinzuweisen, dass bei der Beurteilung der Strategieergebnisse nicht nur der Substanzverlauf auf Basis des Mittelwertes (Abbildung 7) herangezogen werden sollte, sondern die Entwicklung der Substanzklassenanteile (Abbildung 8) auch gesondert betrachtet werden muss. Letztere bietet einen guten Überblick, in welchen Klassenanteilen ein Substanzverzehr bzw. -aufbau maßgeblich auftritt. Hierdurch können zusätzliche Ansatzpunkte erkannt werden, um die jeweilige Strategie bzw. die zugrunde gelegten Prämissen und Entscheidungsstrukturen weiter anzupassen und damit die Wirkung weiter zu optimieren.
Abbildung 7: Entwicklung des Abnutzungsvorrates im bremischen Kanalnetz [15] [Quelle: S & P Consult GmbH]
Beim Vergleich der Substanzklassenanteile in Abbildung 8 wird deutlich, bei welchen Strategien der Anteil der erneuerungsbedürftigen Haltungen (Legende: Substanz aufgebraucht) langfristig steigt und bei welchen der Anteil stagniert oder sinkt.
Bei der „Weiterso-Strategie“ verringert sich bis 2030 der ohnehin schon geringe Anteil von Haltungslängen mit aufgebrauchter Substanz von 2,8 % auf 1,7 % bis 2030, bis 2040 ergibt sich ein Anstieg auf ca. 4,6 %.
Bei der „Substanz-69-Strategie“ wird trotz des nicht limitierten Mitteleinsatzes keine nennenswerte Verbesserung in den Klassen mit aufgebrauchter und niedriger Substanz erreicht. Erst ab 2030 kommt es zu einer signifikanten Verbesserung in der Substanzklasse „niedrig“.
Mit der „Substanz-Strategie“ werden Haltungen mit „aufgebrauchter“ Substanz von 2,8 % auf 0,9 % bis zum Jahr 2030 reduziert und bis 2040 vollständig abgebaut. Hier wird der Fokus auf die Haltungen mit aufgebrauchtem und niedrigem Abnutzungsvorrat gelegt. Eine Reduzierung der Haltungen mit „sehr hoher“ bzw. „hoher“ Substanz ist hierbei gewollt, um eine Alterung in diesen Substanzklassen zu ermöglichen.
Abbildung 8: Substanzentwicklung des Entwässerungsnetzes der Stadt Bremen - differenziert nach Strategien und Substanzklassen [15] [Quelle: S & P Consult GmbH]
5 Zusammenfassung
Die Werterhaltung von Entwässerungssystemen stellt aufgrund der Langlebigkeit und Bedeutung dieser Anlagen eine generationenübergreifende Aufgabe dar. Um sicherzustellen, dass die Netzinstandhaltung bzw. -sanierung, trotz fortlaufender Alterungsprozesse sowie hoher Ansprüche an die Entsorgungssicherheit, auch für nachfolgende Generationen finanzierbar bleibt, sind langfristige Netzbetrachtungen unerlässlich. Im Projekt zur strategischen Sanierungsplanung auf Basis von STATUSKanal wurde eine langfristige Betrachtung für das Entwässerungssystem der Freie Hansestadt Bremen für einen Prognosezeitraum bis 2040 durchgeführt.
Im Rahmen der Zustands- und Substanzbewertung wurde ein Abbild der einzelnen Haltungen in Form von Bewertungsgrößen für die Sanierungspriorität (Zustand) und den Abnutzungsvorrat (Substanz) geschaffen. Durch die Modellierung der örtlichen Alterungsprozesse konnten sowohl vorangegangene Inspektionsbefunde aktualisiert, als auch Prognosen für die Netzentwicklung im Horizont bis 2040 unter der Berücksichtigung verschiedener, strategiedefinierter Handlungsoptionen vorgenommen werden.
Der Analyseansatz wurde im Projekt zudem durch die weitergehende Betrachtung von Netzclustern verfeinert (Netzcluster = Kanäle, die aufgrund vergleichbarer Randbedingungen und Merkmalen ein homogenes Alterungsverhalten teilen). Die Anwendung des anerkannten stochastischen Modellwerkzeugs STATUSKanal ermöglicht damit die belastbare Beurteilung der Wirkung der bestehenden Sanierungsstrategie bzw. alternativer Handlungskonzepte.
Die Betrachtung des baulichen Ist-Zustandes im Gesamtnetz macht bereits für das Bezugsjahr 2014 deutlich, dass sich ein wesentlicher Teil des Entwässerungssystems in einem guten Bauzustand befindet. Dieser Sachverhalt spiegelt sich im Vergleich zu anderen Netzen in dem mit 69 % relativ hohen mittleren Substanzwert des Bremer Entwässerungsnetzes im Bezugsjahr 2014 wider.
6 Ausblick
Nach STATUSKanal bietet die auf das bremische Kanalnetz angewendete strategische Herangehensweise (Weiterso) grundsätzlich einen soliden Handlungspfad, um das baulich relativ hohe Niveau des Kanalnetzes zu halten. Der zukünftige Sanierungsbedarf kann mit der aktuellen Vorgehensweise bis 2030 gut kontrolliert werden. Ab 2030 kommt es infolge der Baujahrescharakteristik allerdings zu einer Zunahme des Sanierungsbedarfs.
Daher ist eine perspektivische Anpassung bzw. Ergänzung des etablierten zustandsorientierten Strategieansatzes hin zu einem substanzoptimierten Strategieansatz empfehlenswert. Eine solche Ergänzung erfordert gleichzeitig die vorbereitende Anpassung von Entscheidungsprozessen und ‑grundlagen zur Netzsanierung. Die durchgeführten Strategieanalysen zeigen, dass der Substanzwert des Kanalnetzes durch gezielte Steuerung von Sanierungsleistungen in verschiedenen Netzclustern konsolidiert werden kann. Insofern sollte eine angepasste Sanierungsstrategie clusterspezifische Handlungspfade enthalten.
Bei der Entwicklung von Sanierungsstrategien für Kanalnetze muss zudem beachtet werden, dass die zukünftige Beanspruchung der Entwässerungssysteme von der demografischen und siedlungsstrukturellen Entwicklung beeinflusst werden [1]. Ebenfalls zu beachten ist die betriebliche Sicherheit im Hinblick auf eine sichere Funktionsfähigkeit zur schadlosen Abwasserableitung. Hier sind insbesondere gestiegene Anforderungen an die Bemessungslastfälle sowie klimabedingt gestiegene Niederschlagsspenden für die Dimensionierung von Teilnetzen und deren Bestandteile zu beachten.
Beide Aspekte können Einfluss auf die Sanierungsstrategie im Hinblick auf anwendbaren Sanierungsverfahren haben und beeinflussen das Verhältnis der anteiligen Sanierungslängen von Erneuerungs- und Renovierungsverfahren. Hierbei ist zu berücksichtigen, dass bei unveränderter Investitionshöhe der Zugewinn an Substanzwert u. a. durch die Erhöhung der anteiligen Renovierungslängen an der Gesamtsanierungslänge und damit zu Lasten der anteiligen Erneuerungslängen erfolgt (Abbildung 9). Dabei sollte die notwendige Länge an Erneuerungsmaßnahmen zur Gewährleistung der Netzfunktionalität nicht unterschritten werden.
Abbildung 9: Erhöhung der Sanierungslängen durch Reduzierung der Kostenanteile für die Erneuerung [15] [Quelle: S & P Consult GmbH]
Darüber hinaus ist für die Betreiber von Kanalnetzen neben der Entwicklung und Festlegung einer Sanierungsstrategie, deren konsequente Umsetzung inklusive einer detaillierten Wirkungskontrolle wichtig.
Hierbei bedarf es analog zur Strategieentwicklung geeigneter Instrumente und Kenngrößen. Aus heutiger Sicht existieren die hierfür notwendigen Instrumente nur im eingeschränkten Maße – bspw. eine zeitnahe zur Verfügungsstellung von aktualisierten (Substanzwert)-Datenbeständen zur Ermittlung für entsprechende Soll/Ist-Abweichungen maßgeblicher Kenngrößen.
Im Rahmen der konkreten Sanierungsplanung bedarf eine zusätzliche Substanzwertorientierung neben den üblichen relevanten Planungsinformationen ebenfalls der Kenntnis über aktuelle Substanzdatenwerte der zu sanierenden Kanalhaltungen.
Die betriebliche Sanierungspraxis ist somit durch geeignete Verfahren zu unterstützen, die eine fortlaufende Aktualisierung auf Objektebene erzeugen und im Sinne des vom Regelwerk empfohlenen begleitenden Monitorings eine belastbare Einordnung der Differenz zwischen prognostizierter und realisierter Wirkung ermöglichen.
Literatur
[1] DWA-A (E) 143-14: Sanierung von Entwässerungssystemen außerhalb von Gebäuden - Teil 14: Sanierungsstrategien (2016).
[2] Stein, D., Stein, R.: Instandhaltung von Kanalisationen, 4. Auflage, Band 1, Prof. Dr-Ing. Stein & Partner GmbH, 2014 (ISBN 978-3-9810648-4-1).
[3] Stein, R.; Trujillo, R.: Vorausschauende Sanierungsplanung von Entwässerungssystemen auf der Basis konsistenter und stabiler Prognosemodelle. In KA ABWASSER ABFALL, Jg.: 52, Nr. 6, S. 709-718 (2005).
[4] Stein, R.; Ghaderi, S.: Wertermittlung von Abwassernetzen. Prof. Dr.-Ing. Stein & Partner GmbH, Bochum / Fraunhofer IRB Verlag, Stuttgart (2009).
[5] Stein, R.; Trujillo Alvarez, R.; Lipkow, A.: Optimierung des Kanalnetzbetriebes auf Basis haltungsbezogener Substanzprognosen. Veröffentlichung auf UNITRACC.de vom 11.11.2004 (Internet: http://www.unitracc.de/aktuelles/artikel/optimierung-des-kanalbetriebes-auf-basis-haltungsbezogener-substanzprognosen/view, aufgerufen 11.2013).
[6] Stein, R.: Erweiterte Beurteilungsmodelle für die Strategieoptimierung und den Werterhalt beim ABK, In Bauverlag BV GmbH, THIS 7/2014.
[7] DWA-M 149-3: Zustandserfassung und -beurteilung von Entwässerungssystemen außerhalb von Gebäuden – Teil 3: Zustandsklassifizierung und -bewertung (11.2007).
[8] Firmeninformationen der S & P Consult GmbH, Bochum, Tochterunternehmen der Prof. Dr.-Ing. Stein & Partner GmnH, Bochum.
[9] Stein, D., Stein, R.: Instandhaltung von Kanalisationen, 4. Auflage, Band 1, Prof. Dr-Ing. Stein & Partner GmbH, 2014 (ISBN 978-3-9810648-4-1).
[10] Stein, R.; Trujillo, R.: Vorausschauende Sanierungsplanung von Entwässerungssystemen auf der Basis konsistenter und stabiler Prognosemodelle. In KA ABWASSER ABFALL, Jg.: 52, Nr. 6, S. 709-718 (2005).
[11] Stein, R.; Ghaderi, S.: Wertermittlung von Abwassernetzen. Prof. Dr.-Ing. Stein & Partner GmbH, Bochum / Fraunhofer IRB Verlag, Stuttgart (2009).
[12] Stein, R.; Trujillo Alvarez, R.; Lipkow, A.: Optimierung des Kanalnetzbetriebes auf Basis haltungsbezogener Substanzprognosen. Veröffentlichung auf UNITRACC.de vom 11.11.2004 (Internet: http://www.unitracc.de/aktuelles/artikel/optimierung-des-kanalbetriebes-auf-basis-haltungsbezogener-substanzprognosen/view, aufgerufen 11.2013).
[13] Stein, R.; Trujillo Alvarez, R.; Lipkow, A.: Optimierung des Kanalbetriebes auf Basis haltungsbezogener Substanzprognosen. In: Ernst & Sohn – Special 3/04. Kanal- und Rohrleitungsbau – Sanierung von Kanälen und Rohrleitungen. Berlin, (2004).
[14] DIN 31051: Grundlagen der Instandhaltung (09.2012).
[15] Abschlussbericht (unveröffentlicht) „Strategische Sanierungsplanung für das Entwässerungsnetz der Freien Hansestadt Bremen“, S & P Consult GmbH, Bochum, 2016.
[16] Pfister, Alterungsmodelle und (Kanalnetz)-Sanierungsstrategie bei hanseWasser Bremen GmbH, Schriftenreihe aus dem Institut für Rohrleitungsbau Oldenburg, Band 43, 2016.
Autoren:
Dipl.-Ing Swen Pfister, Bereichsleiter Netz, Prokurist hanseWasser Bremen GmbH, Dipl.-Ing.(FH), Dipl.-Wirtsch.-Ing. (FH) Rüdiger Jathe, Funktionsbereichsleiter Netzsanierung hanseWasser Bremen GmbH und Dr.-Ing. Robert Stein, S & P Consult GmbH
Weitere News und Artikel
18.08.2025
News
Kanalgipfel 2025: Aussteller Aarsleff
Die Entwässerungssysteme unserer Städte sind ein wesentlicher Bestandteil des kommunalen Anlagevermögens. Die große Zukunftsaufgabe, vor der viele Kommunen stehen, besteht in einer fundierten technischen …
12.08.2025
News
Kanalgipfel 2025: Was meint der Mensch, was sieht die Maschine? | Netzübergreifende vergleichende Untersuchungen zu Qualitätsunterschieden bei Erfassung und Bewertung von Kanalisationen
Die Entwässerungssysteme unserer Städte sind ein wesentlicher …
07.08.2025
News
Kanalgipfel 2025: KI-basierte Substanzbewertung von Kanalisationen
Die Entwässerungssysteme unserer Städte sind ein wesentlicher Bestandteil des kommunalen Anlagevermögens. Die große Zukunftsaufgabe, vor der viele Kommunen stehen, besteht in …
07.08.2025
News
Kanalgipfel 2025: Netzweite operative Bedarfsplanung mittels individuellem Sanierungskosten- und Entscheidungsmodell
Die Entwässerungssysteme unserer Städte sind ein wesentlicher Bestandteil des kommunalen Anlagevermögens. Die große Zukunftsaufgabe, …
14.07.2025
News
Kanalgipfel 2025: Umsetzungsorientierte Finanzierungsstrategien zur Substanzerhaltung von Entwässerungssystemen
Die Entwässerungssysteme unserer Städte sind ein wesentlicher Bestandteil des kommunalen Anlagevermögens. Die große Zukunftsaufgabe, …
09.07.2025
News
Kanalgipfel 2025: Aussteller NIVUS
Die Entwässerungssysteme unserer Städte sind ein wesentlicher Bestandteil des kommunalen Anlagevermögens. Die große Zukunftsaufgabe, vor der viele Kommunen stehen, besteht in einer fundierten technischen und …
03.07.2025
News
Kanalgipfel 2025: Aussteller IBAK
Die Entwässerungssysteme unserer Städte sind ein wesentlicher Bestandteil des kommunalen Anlagevermögens. Die große Zukunftsaufgabe, vor der viele Kommunen stehen, besteht in einer fundierten technischen und …
01.07.2025
News
Kanalgipfel 2025: Aussteller Canal-Control Gruppe
Die Entwässerungssysteme unserer Städte sind ein wesentlicher Bestandteil des kommunalen Anlagevermögens. Die große Zukunftsaufgabe, vor der viele Kommunen stehen, besteht in einer fundierten …
27.06.2025
News
Kanalgipfel 2025: Aussteller WIEDEMANN enviro tec
Die Entwässerungssysteme unserer Städte sind ein wesentlicher Bestandteil des kommunalen Anlagevermögens. Die große Zukunftsaufgabe, vor der viele Kommunen stehen, besteht in einer fundierten …
24.06.2025
News
Kanalgipfel 2025: Aussteller Endoline Rohrsysteme
Die Entwässerungssysteme unserer Städte sind ein wesentlicher Bestandteil des kommunalen Anlagevermögens. Die große Zukunftsaufgabe, vor der viele Kommunen stehen, besteht in einer fundierten …
23.06.2025
News
Kanalgipfel 2025: Aussteller SAERTEX multiCom®
Die Entwässerungssysteme unserer Städte sind ein wesentlicher Bestandteil des kommunalen Anlagevermögens. Die große Zukunftsaufgabe, vor der viele Kommunen stehen, besteht in einer fundierten technischen …
17.06.2025
News
Kanalgipfel 2025: Finanzierungsbedarf in der Wasserwirtschaft
Die Entwässerungssysteme unserer Städte sind ein wesentlicher Bestandteil des kommunalen Anlagevermögens. Die große Zukunftsaufgabe, vor der viele Kommunen stehen, besteht in einer …
Kontakt
S & P Consult GmbH
Dr.-Ing. Robert Stein
Konrad-Zuse-Straße 6
44801 Bochum
Deutschland
Telefon:
+49 (0)234 5167 113
Fax:
+49 (0)234 5167 109
