Risk approach to examine strategies for extending the residual life of large pipes
Jan 24, 2005
The National Research Council of Canada (NRC), with the financial support of the American Water Works Association Research Foundation (AwwaRF) has developed a new fuzzy-based approach to model the deterioration of large buried pipes using scarce data.
Fuzzy synthetic evaluation is used to discern the 'condition rating' of a pipe by aggregating the effects of various distress indicators observed (or estimated) during inspection. A rule-based fuzzy Markov model, introduced in earlier publications, is used to replicate and predict the possibility of pipe failure. The possibility of failure is combined with fuzzy failure consequences to obtain the fuzzy risk of failure throughout the life of the pipe. The fuzzy risk model is used to plan the renewal of the pipe subject to maximum risk tolerance. In this paper the approach is expanded to further explore renewal strategies that could include various technologies as well as various scheduling schemes. The strategies are then compared on discounted costs and risk exposure. The concepts are demonstrated using data obtained for a prestressed concrete cylinder pipe (PCCP). Results are discussed as well as model limitations and future research needs.
Keywords
Large-diameter pipes, water transmission mains, deterioration modeling, condition rating, fuzzy sets, fuzzy Markov, failure risk, inspection scheduling, renewal planning, residual life, renewal strategies.
1. INTRODUCTION
The condition rating and the deterioration modeling of large-diameter buried pipes is a challenging undertaking, as low rates of failure, high costs of inspection/condition assessment and lack of robust inspection technologies result in a severe scarcity of necessary data. The failure risk of these pipes must be evaluated and managed, as the failure of such pipes can be disastrous. Water utilities are generally very resistant to taking these pipes out of service for inspection because transmission systems often have no built-in redundancy to accommodate the loss of service. Consequently, the management of their failure risk requires a deterioration model to enable the forecast of the asset condition as well as the possibility of its failure.
The literature shows numerous approaches to modeling asset deterioration, prominent among which is the Markov deterioration process, as exemplified in [1] through [4]. Kleiner et al. [5], [6], [7] introduced a new approach to model the deterioration of buried pipes, using a fuzzy rule-based, non-homogeneous Markov process. This approach took advantage of the robustness of the Markov process and the flexibility of the fuzzy-based techniques, which seem to be particularly suited to modeling the condition rating as well as the deterioration of infrastructure assets for which data are scarce and cause-effect knowledge is imprecise or vague. The proposed deterioration model yields the possibility mass function (as opposed to probability) of failure at every point along the life of the pipe. The possibility of failure is then coupled with the failure consequence to obtain the failure risk as a function of pipe age. The post-renewal deterioration rate is then assessed and a rational decision can be made on when to schedule the subsequent inspection/condition assessment, when to renew a deteriorated pipe, and how to select the most economical renewal alternative.
2. FAILRE RISK OF LARGE WATER MAINS – MODELING APPROACH
2.1. Fuzzy sets and fuzzy techniques
Fuzzy-based modeling was deemed an attractive approach because: a) the interpretation of pipe distress indicators, observed through inspection or non destructive evaluation (NDE), into a condition rating involves subjective judgment, and fuzzy sets with their notion of membership functions are appropriate for accommodating this subjectivity; b) practitioners have an intuitive understanding of the deterioration process in buried pipes (although many of the relationships between cause and effect are not well understood let alone quantified) and fuzzy techniques seem well suited to represent this intuition as well; c) failure of a large-diameter water transmission main is relatively a rare event and data on the consequences in terms of direct, indirect and social costs are scarce. The fuzzy approach is therefore well suited to exploit the qualitative understanding many practitioners have about the conditions that affect these costs.
2.2. Encoding pipe condition as a fuzzy set using fuzzy synthetic evaluation
The Markovian deterioration process requires that the condition of the deteriorating asset be encoded as an ordinal condition state (e.g., State 1, State 2, or Excellent, Good, Fair, etc.). The condition assessment of a large buried pipe comprises two steps. The first step involves the inspection of the pipe using direct observation (visual, video) and/or NDE techniques (radar, sonar, ultrasound, sound emissions, eddy currents, etc.), which reveal distress indicators. The second step involves the interpretation of these distress indicators to determine the condition rating of the pipe. As stated earlier, this interpretation process, which is dependent upon the inspection technique, is often imprecise and can be influenced by subjective judgment. A method was developed [5] to interpret distress indicators into a condition rating, using a fuzzy synthetic evaluation technique. The condition rating is expressed as a fuzzy set (or possibility mass function), where the condition of the pipe is rated in terms of membership values to a seven grade scale: Excellent, Good, Adequate, Fair, Poor, Bad, Failed. For example, the condition rating (0, 0, 0.2, 0.7, 0.1, 0, 0) means 0.2, 0.7 and 0.1 memberships to condition states Adequate, Fair and Poor respectively, as is illustrated in Figure 1.
2.3. Fuzzy Markov based deterioration model
The deterioration of large-diameter transmission mains was modeled using a fuzzy rule-based, non-homogeneous Markov process [5]. This approach exploits the robustness of the Markov process and the flexibility of the rule-based fuzzy techniques and their ability to handle imprecise and vague data. In the proposed model the life of the pipe is discretized into time steps and the Markov process is applied at each time step in two stages. In the first stage, the deterioration rate at the specific time step is inferred from the asset age and condition state using a fuzzy rule-based algorithm. In the next stage, the condition state of the asset in the next time step is calculated from present condition state and deterioration rate. Essentially the deterioration process models the asset as it gradually undergoes change from better to worse condition states. This is done through memberships ‘flowing’ from higher to lower condition states. The process is formulated to mimic a reality in which a given asset at a given time cannot have significant membership values to more than two or three contiguous condition states. Figure 2 illustrates how a pipe might deteriorate from condition (0.14, 0.59, 0.27, 0, 0, 0, 0) in year 20 to (0, 0.1, 0.38, 0.52, 0, 0, 0) in year 40.
2.4. Post-renewal condition improvement and subsequent deterioration
A pipe can be repaired or renewed (rehabilitated) when the need arises. A repair is assumed to be a very localized intervention that does not improve the condition rating of the pipe by a noticeable amount, and is not likely to change the deterioration rate of the pipe. Renewal is assumed to be an intervention that improves the condition of the pipe and possibly modifies its deterioration rate as well. Consequently, the deterioration rate obtained training the model on past inspections will be altered by a renewal but not a repair event.
Usually, several pipe renewal technologies are available each of which is assumed to have three specific attributes. The first is a condition improvement matrix, which determines how much the condition of the pipe will improve immediately after renewal. The second is a post-renewal deterioration rate matrix, which determines how fast the pipe will continue to deteriorate after renewal. The third is the cost associated with the renewal alternative. The condition improvement matrix can be populated based on hard field data, however until these types of data become available, this matrix is established from expert opinion, as illustrated in Table 1. Similarly, the post-renewal deterioration rate matrix is also estimated from experience and expert opinion, as illustrated in Table 2. Renewal costs can usually be obtained from manufacturers/contractors.
Once the condition improvement and the post-renewal deterioration rate matrices are established, a new fuzzy Markov-based deterioration process can be modeled, where the pipe continues to deteriorate from its post-renewal condition. If, for example, after renewal it takes 31 years for the pipe to deteriorate to a condition rating similar to its pre-renewal condition, as is illustrated in Figure 3a, it can be said that the renewal action 'bought' 31 years of additional life.
| Expression of confidence to get condition shift | To condition | ||||||
|---|---|---|---|---|---|---|---|
| From condition | Excellent | Good | Adequate | Fair | Poor | Bad | Failed |
| Excellent | Highest | ||||||
| Good | Highest | Lowest | |||||
| Adequate | Medium | Highest | Lowest | ||||
| Fair | Medium | Highest | Medium | ||||
| Poor | Lowest | Highest | Medium | ||||
| Bad | Medium | Highest | Lowest | ||||
| Failed | Lowest | Highest | Medium | ||||
| Expression of confidence about the post-intervention deterioration rate relative to the current (observed) deterioration rate | ||||
|---|---|---|---|---|
| Much lower | Lower | Same | Higher | Much higher |
| Medium | Highest | Lowest | ||
3. FUZZY RISK OF FAILURE
The risk of failure is determined jointly by the likelihood and the consequences of a failure. As stated earlier, failure of large-diameter transmission main is relatively a rare event and data on the consequences in terms of direct, indirect and social costs are difficult to come by. The fuzzy approach is therefore well suited to exploiting the qualitative understanding many practitioners have about the conditions that affect these costs. As the encoding process of failure consequences into fuzzy sets was beyond the scope of this research, it was assumed that these consequences could be described as a 9-grade (Extremely low, Very low, Quite low, Moderately low, Medium, Moderately severe, Quite severe, Very severe, Extremely severe) fuzzy mass function.
Using a set of fuzzy rules, the fuzzy consequence mass function is coupled with the mass function that defines the possibility of failure, to obtain another mass function that describes the risk of failure as a 9-grade (Extremely low, Very low, Quite low, Moderately low, Medium, Moderately high, Quite high, Very high, Extremely high) fuzzy set. The risk mass function is calculated for every time step in the life of a pipe to obtain the fuzzy risk of failure throughout the life of the pipe. The future pipe condition is coupled with its fuzzy failure consequences as described in [5], to forecast the fuzzy risk of failure of the pipe. This is done using a set of rules. The result is a fuzzy risk curve as illustrated in Figure 3b. The grey levels represent membership values to risk levels (darker grey for a higher membership).
4. STRATEGIES FOR EXTENDING THE LIFE OF THE PIPE
4.1. Expected residual life of pipe
Maximum risk tolerance (MRT) is used as a decision criterion. A water utility, through a consensus-building process like Delphi, will define the MRT, while considering both the possibility of failure and the failure consequences. Consequently, it can be said that, using a risk approach, MRT actually determines the expected residual life of the pipe. For example, in Figure 3, a MRT = Moderately high results in expected life of about 65 to 80 years, with a most likely value (MLV) of about 70 years.
4.2. Maximum risk tolerance as a criterion for decision-making
It can be assumed that any decision to renew or rehabilitate a pipe segment or section will always be preceded by an inspection and condition assessment. Thus, if the deterioration model predicts that MRT is going to be reached at a given time, it follows that an inspection/condition assessment will be scheduled around that time. This inspection/condition assessment can have one of two outcomes:
- The observed condition of the pipe is better than predicted (the model overestimated the deterioration rate) and MRT has not yet been reached. In this case the deterioration model is re-calibrated to include the newly acquired data, then re-applied and the next inspection/condition assessment is scheduled for the next time at which MRT is predicted to be reached.
- The observed condition of the pipe is the same or worse than the model predicted and current risk is equal to or exceeds MRT. In this case renewal work has to be planned immediately and implemented as soon as possible.
With this approach, when pipe renewal is required it is often necessary to select the most appropriate among several alternative renewal technologies that are available in the market. In the selection, the user has to consider both the improvement that the renewal action will affect and the post renewal deterioration rate. The user may resort to the ‘time bought’ concept explained earlier to make this selection. If, for example, a renewal technology that costs $100,000 buys 20 years of additional life (i.e., postpones subsequent renewal by 20 years until the time at which MRT is reached again), the normalized cost of this technology can be thought of as $5,000 per year of extra life. The user will usually select the technology with the lowest cost per year of extra life.
4.3. Additional strategies for decision making on pipe renewal
The decision approach described in Section 4.2 above is valid for cases where the cost of pipe renewal is independent of the condition of the renewed pipe. This approach also implies that once MRT is determined, the pipe owner sees no value at all in operating the pipe at risk levels that are below MRT. However, the cost of some renewal technologies can depend on the condition of the pipe, i.e., the more deteriorated the pipe the more expensive it is to renew. Further, pipe owners may see value in operating the pipe at risk levels below MRT. The following describes a process to explore renewal strategies under these premises.
4.3.1. Expected cost of renewal
Let Ct = (μtC1, μtC2,..., μtC7) denote a fuzzy set representing the condition rating of a pipe at time t, where μtC1 represents the membership to condition state Excellent, μtC2, membership to condition state Good, etc. Let the 7-member vector Vk=(v1, v2,...v7) represent the cost matrix of renewal technology k, where v1 is the cost of renewal when the pipe is in condition state Excellent, v2 is the cost of renewal when the pipe is in condition state Good, etc. The dot product Skt of Ct and Vk can approximate the expected cost of renewal technology k at time t (this dot product is an approximation only because μtCi represents a membership value not a probabilistic mass).
4.3.2. Infinite cycle of renewals
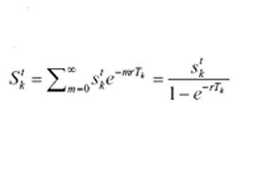
Let Tk denote the "time bought" by renewal technology k, as is described earlier in Section 2.4. For a given pipe, "time bought" Tk depends on the renewal technology, and on the condition of the pipe upon renewal. In comparing renewal strategies, one has to be careful to compare costs and performances on an equal time horizon. This is difficult to do when different renewal alternatives can be scheduled at different times and have different effective longevities. One way to address this difficulty is to look at a very long (or infinite) time horizon, and use a simplifying assumption to derive the discounted cost of infinite renewal cycles [8]. It is assumed, as a first approximation, that if renewal technology k is selected, after Tk years k will be applied again, and so fourth in perpetuity. It can be shown that the discounted cost (present value) Skt of all renewal cycles to infinity can be expressed as:
4.3.3. Comparing renewal strategies
Let Kkt denote a renewal strategy that uses renewal technology k at time (or pipe age) t. Each Kkt will therefore have two calculated attributes, total discounted cost Skt and the maximum failure risk level Zkt that is associated with this renewal strategy. Because Zkt and Skt are non-commensurate in their units, they cannot be combined to arrive at a global optimum. Instead, they can be mapped on a Pareto-type chart and the decision maker can select the preferred strategy among the Pareto-efficient ones.
4.3.4. Example
Suppose that a prestressed concrete cylinder pipe (PCCP) installed in 1972 with a post installation condition rating of C0 = (0.9, 0.1, 0, 0, 0, 0, 0, 0), was inspected in 1993 (age 21) and its condition was assessed at C21 = (0, 0, 0.63, 0.37, 0, 0, 0). Figure 4 illustrates the trained fuzzy Markov deterioration model resulting from these data.
| Srategy | Renewal year (age) | Condition rating | Time bought | Expected cost ($)* | Maximum risk exposure** | |
|---|---|---|---|---|---|---|
| Pre-renewel | Post-renewal | |||||
| 1 | 2005 (33) | (0,0,0.04,0.2,0.76,0,0) | (0.13,0.56,0.31,0,0,0,0) | 25 | 71,000 | Extremely low to Moderately low (very low) |
| 2 | 2007 (35) | (0,0,0.02,0.1,0.87,0,0) | (0.11,0.52,0.32,0,0,0,0) | 26 | 67,000 | Extremely low to Moderately low (very low) |
| 3 | 2012 (40) | (0,0,0,0.02,0.11,0,86,0) | (0.02,0.37,0.55,0.07,0,0,0) | 25 | 88,000 | Extremely low to Moderately low (very low) |
| 4 | 2017 (45) | (0,0,0,0,0.02,0.1,0.88) | (0.02,0.37,0.55,0,07,0,0,0) | 28 | 117,000 | Medium to Extremely high (moderately high) |
| 5 | 2022 (50) | (0,0,0,0,0,0.02,0.98) | (0,0.09,0.58,0.33,0,0,0) | 33 | 95,000 | Medium to Extremely high (Quite high) |
** Fuzzy range of risk exposure with the most likely value in brackets
4.3.5. Discussion
In this example it is relatively simple to identify non-inferior strategies because of the small number of strategies examined. When a large number of strategies are to be examined, including various renewal technologies as well as various scheduling alternatives, a Pareto-type chart may be useful to analyse results and make decisions. It is worth noting that in the example presented, the failure risk curve increases very rapidly at the pipe age of about 40 years. This creates a dramatic increase in risk exposure between strategies 3 and 4. This characteristic is determined by both the model formulation, the rules that govern the fuzzy Markov deterioration model and the specific data about the condition rating of the pipe. Sufficient data are currently unavailable to determine with a reasonable level of certainty whether this behaviour replicates actual deterioration. As more data are obtained, further calibration of the rules as well as adjustments in the model formulation may be required. The flexibility of the fuzzy-based approach lends itself relatively easily to making such adjustments.
It should be understood that the comparison of renewal strategies described above is based on a deterioration model that was calibrated with data from the past. If the preferred strategy is one that involves renewal works several years into the future, it is expected that one more inspection/condition assessment will be carried out before the actual renewal. For example, if strategy 3 is selected as the preferred one, it would be prudent to carry out an inspection/condition assessment in 2011, prior to renewal. The condition rating obtained from this condition assessment would then be compared to that which was predicted by the model. If the pipe is as predicted or is more deteriorated than predicted (i.e., the model underestimated the deterioration rate) then renewal should proceed as planned. If, however, the pipe is in much better condition than predicted, the new data should be used to re-calibrate the model and the planning exercise repeated using the newly calibrated model.
5. SUMMARY
Fuzzy-based techniques are particularly suited to modeling the deterioration of buried infrastructure assets, for which data are scarce, cause-effect knowledge is imprecise and observations and criteria are often expressed in vague terms. An approach to manage the renewal of large-diameter water transmission mains was demonstrated with the help of a case study. This approach can be summarized in these clearly defined steps:
- Conduct pipe inspection/NDE, record distress indicators and interpret them into a pipe condition rating.
- Use the pipe condition rating to train a fuzzy Markov-based deterioration model and generate risk projection for the pipe life.
- Evaluate renewal strategies, including renewal technologies and scheduling alternatives. Decision criteria may include discounted costs of the strategies, the exposure to risk they provide and possibly the expected length of the renewal cycle.
- If the deterioration model was trained using condition assessment data that are old, it is prudent to perform an inspection/condition assessment before the actual renewal is carried out. The new data will be used either to confirm the decision or to re-train the model for future analysis.
Acknowledgement
This paper presents results of a research project, which was co-sponsored by the American Water Works Association Research Foundation (AwwaRF), the National Research Council of Canada (NRC) and water utilities from the United States, Canada and Australia.
References
[1] Madanat, S.M., Karlaftis, M.G., and McCarthy, P.S. (1997), "Probabilistic infrastructure deterioration models with panel data", Journal of Infrastructure Systems, ASCE, 3(1), pp. 4-9.
[2] Wirahadikusumah, R., Abraham, D., and Isely, T. (2001), "Challenging issues in modeling deterioration of combined sewers", Journal of Infrastructure Systems, ASCE, 7(2), pp. 77-84.
[3] Mishalani, R.G., and Madanat, S.M. (2002), "Computation of infrastructure transition probabilities using stochastic duration models", Journal of Infrastructure Systems, ASCE, 8(4), pp. 139-148.
[4] Kleiner, Y. (2001), "Scheduling inspection and renewal of large infrastructure assets" Journal of Infrastructure Systems, ASCE, 7(4), pp. 136-143.
[5] Kleiner, Y., Rajani, B., and Sadiq, R. (2004) "Risk management of large-diameter water transmission mains", Denver, Col. American Water Works Association Research Foundation – to be published.
[6] Kleiner, Y., Rajani, B., and Sadiq, R. (2004), "Modeling failure risk in buried pipes using fuzzy Markov deterioration process", ASCE International Conference on Pipeline Engineering and Construction (San Diego, CA). August.
[7] Kleiner, Y., Rajani, B.B. and Sadiq, R. (2004). "Management of failure risk in large-diameter buried pipes using fuzzy-based techniques", 4th International Conference on Decision Making in Urban and Civil Engineering (Porto, Portugal), October.
[8] Kleiner, Y., Adams, B. J., and Rogers, J. S. (1998). "Long-term planning methodology for water distribution system rehabilitation." Water Resources Research, 34(8), 2039-2051
More News and Articles
Aug 07, 2025
News
Kanalgipfel 2025: Netzweite operative Bedarfsplanung mittels individuellem Sanierungskosten- und Entscheidungsmodell
Die Entwässerungssysteme unserer Städte sind ein wesentlicher Bestandteil des kommunalen Anlagevermögens. Die große Zukunftsaufgabe, …
May 26, 2025
News
Kanalgipfel 2025: Smart Processing – mit KI-Technologien von der Kanalinspektion bis zur Sanierungsstrategie
Die Entwässerungssysteme unserer Städte sind ein wesentlicher Bestandteil des kommunalen Anlagevermögens. Die große Zukunftsaufgabe, …
May 12, 2025
News
Kanalgipfel 2025: Stand der Kanalsanierung in Deutschland – Eine kritische Betrachtung
Die Entwässerungssysteme unserer Städte sind ein wesentlicher Bestandteil des kommunalen Anlagevermögens. Die große Zukunftsaufgabe, vor der viele Kommunen …
Aug 28, 2024
News
ITpipes Secures $20M to Transform Water Infrastructure Management
ITpipes announced it has secured $20 million in equity financing from Trilogy Search Partners and Miramar Equity Partners.
Known for its trusted and user-friendly platform, ITpipes …
Aug 26, 2024
News
Professor Dr.-Ing. Dietrich Stein
With deep sadness we announce the loss of our founder and partner Prof Dr Dietrich Stein at the age of 85.
Engineers around the globe are thankful for his dedication to the inventions in the fields of sewers, …
Aug 26, 2024
News
PPI Releases New Installation Guide for PE4710 Pipe
PPI’s MAB-11-2024 Covers HDPE Water Pipelines Up to 60-in. Diameter and 10,000-ft Long Pulls
Developed by the Municipal Advisory Board (MAB) – and published with the help of the members of the …
Aug 23, 2024
News
Faster wide-scale leak detection now within reach
Mass deployment of connected leak loggers is being made possible by the latest technology, writes Tony Gwynne, global leakage solutions director, Ovarro
Water companies in England and Wales are …
Aug 21, 2024
News
Kraken awakens customer service potential in water
The innovative customer service platform Kraken has made a successful transfer from energy to water. Ahead of their presentation at UKWIR’s annual conference, Portsmouth Water chief executive …
Aug 19, 2024
News
Predicting the toxicity of chemicals with AI
Researchers at Eawag and the Swiss Data Science Center have trained AI algorithms with a comprehensive ecotoxicological dataset. Now their machine learning models can predict how toxic chemicals are …
Aug 16, 2024
News
Goodbye water loss: Trenchless pipe renewal in Brazil
Pipe renewal in Brazil
How do you stop water loss through leaks in old pipe systems without major environmental impacts and restrictions? The answer: with trenchless technology, or more precisely …
Aug 14, 2024
Article
Impact of high-temperature heat storage on groundwater
In a recently launched project, the aquatic research institute Eawag is investigating how the use of borehole thermal energy storage (BTES) affects the surrounding soil, the groundwater …
Aug 12, 2024
News
Watercare completes East Coast Bays sewer link
Watercare has successfully finished the final connection on the East Coast Bays link sewer at Windsor Park in New Zealand.
Much of the East Coast Bays sewer link was installed using horizontal directional …
Contact
Institute for Research in Construction, National Research Council Canada (NRC) Ottawa Dr. Yehuda Kleiner
