Evaluation models for the assessment of the structural and operational condition of drain and sewer systems – Part II
Jun 05, 2015
This is the second part of the technical report series “Evaluation models for the assessment of the structural and operational condition of drain and sewer systems“. It is about the advanced evaluation model STATUS Sewer.
5.1 STATUSSewer – Plausibility check
In the context of standard evaluation models, quality assurance does not always have the required significance in condition assessment, so that proper data structures and consistent/plausible data cannot always be guaranteed. This results in faulty analyses of both master data and condition data and, consequently, leads to flawed conclusions within the planning of rehabilitation.
Practical experience [1] shows that on average about 20 % of the master data and condition data that are essential for the assessment are faulty to a greater or lesser degree, leading to possibly faulty conclusions about the actual situation and, consequently, also resulting in wrong rehabilitation and investment decisions. Whereas rehabilitation decisions based on an a clearly poor assessment can be identified and corrected during preparation for rehabilitation work, the main issue occurs with objects that have (mistakenly) been clearly assessed as too positive. Despite their need for rehabilitation, such objects are either already excluded prior to further planning or they are prioritised for a rehabilitation measure at much too late a date, thus putting the reliability and performance of the network at risk. Network objects with lower error rates may not drastically change in their prioritisation, but the faulty data will at best result in an inefficient budget allocation.
In this context, master data are particularly critical, as they have often been included manually from existing paper documents into digital data management systems. In addition, a variety of potential sources of error in the acquisition of new data, e.g. condition data, also leads to deviations in data quality. Furthermore, generally not all operating processes in the day-to-day business of the network operators are yet adapted in detail to the possibilities of digital data acquisition, storage, management and assessment. This might lead to data distortion. If only the physical process of data acquisition is considered, faulty data can only be identified and corrected involving disproportionally large personnel expenditure, whereas the exact same process can be handled fairly easily by using suitable detection algorithms in a comprehensive data inventory analysis (data mining).
STATUSSewer comprises extensive quality assurance measures in the form of a multi-level plausibility check, in which the master data and condition data of the drain and sewer system object under assessment are checked regarding faulty or fragmentary data using a large number of analytical test algorithms and validation rules. Already back in 2004, these analytical test algorithms had been developed in the context of a research project funded by the Ministry for Climate Protection, Environment, Agriculture, Nature Conservation and Consumer Protection of the German State of North Rhine-Westphalia, called “Development of a computer-based system for checking and assessing the plausibility of inspection and inventory data in the course of evaluating repeated inspections” [2] [3]. Condition data are additionally randomly cross-checked against their corresponding TV inspections. These procedures fully meet the respective requirements listed in DWA-M 149-3 [4].
The multi-level plausibility check of STATUSSewer includes the following steps:
- Formal plausibility check
- Logical plausibility check
- Temporal plausibility check
- Statistical plausibility check
In the formal plausibility check the used data are checked for completeness and accuracy based on given data definitions. That way, for example, by means of the used coding system, condition data are checked for permissibility or defect quantifications are checked for completeness. In that check, it is also analysed which version of the respective coding system was used in order to prevent future misinterpretations that may result from a parallel use of different versions of the coding system.
Subsequently, the data are corrected. In particular, corrections are made by completing data gaps with the missing information being obtained by comparing given data with data acquired from objects in the close vicinity or other comparable objects. If information is missing regarding the year of construction or material, specifications of adjacent objects can be used. Another possibility is the adoption of average values taken from either the respective (part of the) drain and sewer network or the corresponding object group.
The logical plausibility check ignores syntactical errors and, instead, checks for logical relations between two or more data provided in the sewer data base. The logical relations can both be object and defect specific. Data items that contradict each other are identified in the process.
As an example, let us assume a sewer section made of PE (Polyethylene) with the nominal size of DN 2000. As with formal errors, the correction of logical errors is done by checking comparable objects in the vicinity. In this example, the adjacent sewer sections made of PE have the nominal size of DN 200, so that, instead of DN 2000, DN 200 is adopted as the most likely/plausible value.
The temporal plausibility check analyses successive data regarding possible inconsistencies in the data records over time and thus, ensures that data from former inspections are kept and can be used for a documentation of the temporal condition development. That way, data errors such as “missing” defects can be revealed in the analysis of multiple inspections. Their correction is done through matching of data with the respective TV inspections. The temporal plausibility check implies that the inspections to be compared to each other are encoded in the same coding system. While a comparison of inspections with different underlying coding systems is possible in theory by means of a prior transcription of data from one inspection into the format of the other, it is generally not effective. When changing the coding system, the defect description possibilities are also altered, i.e. differences would be created that cannot be fully transcribed.
Within the course of the statistical plausibility check, the data of the drain and sewer system are analysed in order to identify its structure and typical characteristics. Based on the analysis of characteristic data clusters of a network, e.g. the distribution and range of the years of construction, the distribution and range of nominal sizes, defect characteristics, etc., the drain and sewer system can be made transparent for its operator.
Possible existing inconsistencies in the network structure (deviations from the network operator’s own ideas about his network, outliers or untypical accumulations, deviations in the expected range) are identified in the process, can be analysed and, if required, corrected after consulting the client.
5.2 STATUSSewer – Individual defect assessment
The classification and assessment of individual defects is done subject to the network operator’s specifications, e.g. in accordance with standard assessment models like ISYBAU [5] or DWA-M 149-3 [4] for the essential drain and sewer system requirements (performance objectives) of leaktightness, stability and operational safety depending on the type and extent of damage.
The problems identified in standard evaluation models (Section 1, 1st part of the article), which often do not allow for a realistic, differentiated assessment and determination of rehabilitation priorities, are smoothed out in STATUSSewer by introducing an extensively expanded and improved individual defect assessment [6]:
- Discrete (rigid) classes → Stepless classification via fuzzy logic
- Inappropriate class limits in individual cases or essential influencing conditions that are not covered → New, extended defect models.
5.2.1 Stepless classification via fuzzy logic
In order to classify conditions of individual defects and objects, standard evaluation models make use of discrete (rigid) defect classes from 1 to 5 (ISYBAU) or condition classes from 0 to 5 (DWA-A 149-3) which result in the disadvantages mentioned in Section 1 (1st part of the article).
That is why, in STATUSSewer, defect, condition and fabric decay classes are stabilised with the help of an appropriate mathematical model. The model is based on the fuzzy set theory (fuzzy logic), which can more fully account for the variation of all defect characteristics. This mathematical model is also used in the forecast of the network condition and network fabric decay class development (Section 5.4, 3rd part of the article).
Figure 2 summarises the approach of a stepless classification of individual defects by means of fuzzy logic. The classification is oriented towards the defect class limits for individual defects as recommended in the wastewater guidelines [5] (state 2007), but shows them in a fuzzy way, i.e. fuzzified (Table 2). Similar approaches for drain and sewer systems have been used by Kleiner, Rajani and Sadiq [7] [8], for example.
Figure 2: Approach for the stepless classification of individual defects by means of fuzzy logic [1]
Table 2: Meaning of the defect, consdition and fabric decay classes [9]
| Designation | Meaning | |
|
Defect Class (subject to the network operator’s specifications) |
DC 0 | Defect-free |
| DC 1 | Minor defect | |
| DC 2 | Slight defect | |
| DC 3 | Medium defect | |
| DC 4 | Severe defect | |
| DC 5 | Very severe defect | |
| Condition Class | CC 0 | Defect-free, no need for action |
| CC 1 | Subordinate meaning | |
| CC 2 | Need for action in the long term | |
| CC3 | Need for action in the medium term | |
| CC 4 | Need for action in the short term | |
| CC 5 | Immediate measure, imminent need for action | |
| Fabric Decay Class | FDC 0 | No fabric decay (full performance reserve) |
| FDC 1 | Minor fabric decay | |
| FDC 2 | Slight fabric decay | |
| FDC 3 | Medium fabric decay | |
| FDC 4 | Severe fabric decay | |
| FDC 5 | Very severe fabric decay |
The advantage of fuzzy logic compared to classic mathematics, where an element is either included in a predefined basic set or not (yes/no, true/false, etc.), is that an element can be included “slightly” or “a little bit” in a fuzzy set. The degree of membership in a certain set is described in a membership function.
In order to smooth the step-wise changes in defect class in standard evaluation models, STATUSSewer uses spline functions as membership functions, as these are particularly suitable for a stepless change of class.
As an example, the rigid defect classes are compared to the stepless defect classes illustrated by means of spline functions for the defect symptom “displaced joint (BAJ A)” in Figure 3.
Figure 3: Comparison of the defect classes in wastewater guidelines (at the top) vs. STATUSSewer (fuzzy classes model) (at the bottom) for the example of a displaced joint [9]
In the illustration at the top, the horizontal axis represents the scale of defect extent, while the vertical axis defines the degree of membership. A uniform distribution with the membership 1 is assumed within the respective class limits for the standard rectangular function or step function. In this scheme, the defect remains in its respective class right until the threshold value is reached. If that value is exceeded, the class is abruptly changed and the defect is then categorised into the next class.
When using fuzzy logic (illustration at the bottom), the membership in defect classes is designated by means of a stepless transition of classes. Only at the peak of the respective spline function does a defect type belong solely to this defect class.
As the rigid, integer classes are replaced by stepless classes, implausible changes of class can be avoided without having to abandon the five classes concept.
Given that the analysis of inspection videos is often prone to inaccuracies and subjective assessments of the inspector, this approach allows for an objective capture of subjective or verbal observations without information loss by an adjustment of the fuzzy sets.
The advantage of the stepless transitions in class can be seen in the example of priority lists, which, depending on the network length, can include thousands of sewer sections. In contrast to assessment systems with rigid classes, the use of fuzzy logic allows for a far higher differentiation within the priority list (requirements list). Examples from practical projects show that the number of different ranking places within the priority list can sometimes be increased tenfold, resulting in a much more realistic ranking of rehabilitation measures.
Based on the membership function, the fuzzy vector of the classification can be determined by means of classification rules (inference mechanism) (Section 5.2.2, Figure 4), which take the influencing conditions into account. By means of defuzzification, the fuzzy vector is rendered into its numeric equivalent as a stepless value of the defect class (Figure 2).
In total, the analysis of data using fuzzy logic in practice has proven to be robust in the face of imprecise, incomplete or even contradictory information. Thus, it allows for a far more differentiated listing of the structural/operational needs for rehabilitation and a gradual implementation inclusive of reported immediate measures.
5.2.2 New, advanced defect models
While keeping the traditional defect class limits, the introduction of fuzzy logic in STATUSSewer allowed for an analytically different approach towards the class determination process. However, this measure alone will not solve all existing problems in this context. The class limits of the individual defects need to be adjusted in the individual cases.
For example, it is completely irrelevant in the standard assessment models which nominal diameter or which static stress (e.g. depth) is given for the individual sewer section under consideration. Generally, the defect class is solely determined based on both the type and extent of damage. Under certain circumstances only the pipe material as well as information regarding leakages is taken into account in the process of defect classification.
For that reason and based on extensive data, the already existing defect class models which are all related to the individual type of defect have in some cases been considerably extended by an inclusion of given influencing conditions into STATUSSewer. The introduction of influence conditions subject to the material, profile or position, for example, allows for a more precise defect classification. By means of these models which include new findings, defect classes can be individually adjusted to the given influencing conditions, and take entity-specific requirements into account, STATUSSewer represents an extension of traditional defect models. The use of these extended defect models is individually discussed with the network operator.
As an example for an extended damage model, let us assume the additional inclusion of influencing conditions for the defect symptom “displaced joint in longitudinal direction”. In that example, the risk of leakage is far lower for a pipe joint that is displaced by 2 cm in a sewer section with plastic piping DN 400 compared to a sewer section with piping made of vitrified clay DN 250 and a year of construction as early as 1960.
Particular focus has been put on the assessment of structurally relevant defects which, through surface damage (corrosion and wear and longitudinal cracks), for example, can put the stability of impaired sewer sections at risk. These defect symptoms also imply the risk of total failure, the endangerment of the area above, adjacent structures and piping due to a possible collapse. Hence, a decision regarding rehabilitation needs is often made that might have turned out differently under close consideration of the residual stability.
For that reason, STATUSSewer uses a new defect model and an engineering approach to the above-mentioned types of defects by considering the influencing conditions for a structurally approximate determination of the residual load bearing capacity of especially damaged pipelines. The damaged structural system (pipe + soil + defect) is analysed taking into account the quantitative aspects of the material, nominal size and shape of the pipeline, wall thickness, depth of cover, groundwater level, surrounding soil and loads.
The defect classification is based on the principle of meeting the required performance factors according to the latest state of the art, e.g. for pipe static stability ATV-DVWK-A 127 [10], and in accordance with the probabilistic safety theory. The defect class is determined considering the influence of the defect extent and the above-mentioned influencing conditions on the failure probability of the structural system [6] [11] [12] [13]. Figure 4 and Figure 5 provide examples of the parameter fields created in STATUSSewer, taking into account the influencing condition “depth of cover” for an individual defect in a concrete pipe of the type KW DN 400 from an engineering viewpoint. The stability which is characterised by the safety factor y subject to the depth of cover and defect extent (quantification of the crack width and the residual wall thickness in the case of internal corrosion or wear) is illustrated in the images below. These parameter fields are included in STATUSSewer for all relevant types of pipes as well as nominal sizes, resulting in a much more precise defect classification for individual defects that is oriented towards the safety factor.
Figure 4: Determination of the safety factor of a concrete pipe KW DN 400 with longitudinal cracks subject to both the crack width and depth of cover [1]
Figure 5: Determination of the safety factor of a concrete pipe KW DN 400 with corrosion in the gas space subject to both the residual wall thickness and depth of cover [1]
5.3 STATUSSewer – Object assessment (sewer section assessment)
In order to reach an assessment of the structural/operational object condition that is as realistic as possible, an extended assessment concept has been integrated in STATUSSewer, which subdivides the subsequently explained assessment of a sewer section into a condition class and a fabric decay class (Figure 6) [13].
Similar to the standard evaluation models, the condition class of a sewer section as an indicator of the actual function fulfilment is also determined by the most severe individual defect within the sewer section under consideration in STATUSSewer. (Section 5.2) (Figure 7).
The fabric decay class as an indicator of the residual function fulfilment potential (performance reserve) is a decisive criterion to forecast the object’s residual useful life. Furthermore, it is helpful in answering the question as to which rehabilitation measures are required, i.e. how economically sensible is a repair, renovation or replacement of the object (sewer section, manhole) with regard to the residual useful life that is to be expected and to provide a ratio of the cost of rehabilitation deficiencies to the current replacement value (CRV) (Figure 7).
The fabric decay class for a sewer section determines the residual useful life on a standardised scale from 0 to 1. Thus, it corresponds to the performance reserve which, according to DIN 31051 [14], is defined as “the residual performance reserve of possible functional fulfilments of an object under explicitly specified conditions based on its inherent manufacture as well as rehabilitation and maintenance” (Section 5.4, 3rd part of the article).
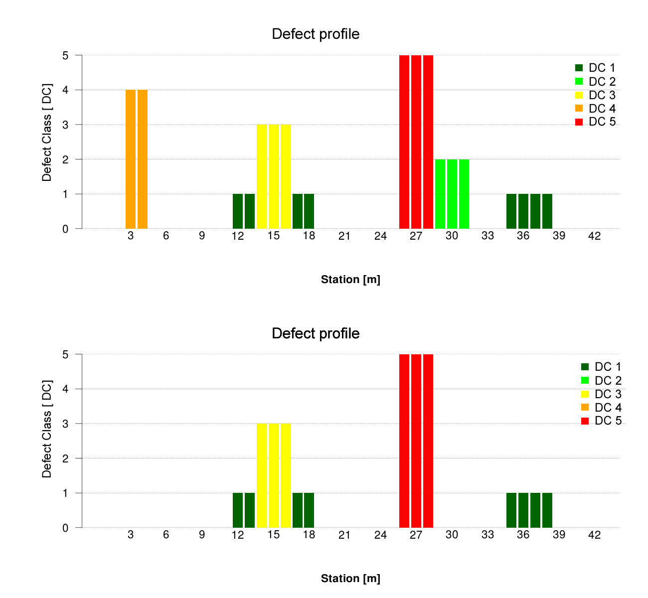
Figure 8: Defect profiles based on the condition class and the respective practical rehabilitation length (Example 1-at the top, 2-at the bottom) [9]
In STATUSSewer, this fabric decay class using a real example is illustrated by means of a five-step, fuzzified class model and thus, with regard to the categorisation of the rehabilitation expenditure, can be compared to the priority classes defining the rehabilitation urgency (Table 2).
In the process of fabric decay class determination, STATUSSewer makes use of the provided condition data as well as defect assessments and creates a defect-related, individual damage profile for each object. For that purpose, each defect is linked to a corresponding individual defect length which complies with the practical length to be rehabilitated.
Figure 9: Determination of the potential severity of defect (Example 1-at the top, 2-at the bottom) for the examples shown in Figure 8 [9]
The individual defects, their condition classes and determined defect lengths are then transferred onto the sewer section, whereby minor defects are superimposed by more severe defects in the same place.
Figure 8 shows two defect profiles that are based on the respective practical rehabilitation length of a sewer section that is 42 m in length with defects from different defect classes (Table 2). In STATUSSewer, the fabric decay class is determined by a transparent link between the potential severity of defect (PSD) and the defect concentration value (DCV).
The potential severity of defect (PSD) provides information regarding the severity (defect class) and extent (defect length) of defects within a sewer section. It is calculated based on the defect profile (Figure 8) exclusively from the proportions (defect class (length) percentages) of the damaged parts of a sewer section (Figure 9).
The potential severity of defect results from the arithmetic mean and standard deviation of the cumulative defect class percentages (Equation 5-1).
With:
GSS = Potential severity of defect
Χ = Arithmetic mean
σ = Standard deviation
Equation 5‑1
For the analysis, the respective fuzzy membership functions are used to determine the proportions of the potential severity of damage in the individual fuzzy sets of a PSD function. In the process, the numerical values are translated into linguistic equivalents (fuzzification).
Figure 10: Determination of the defect concentration value (Example 1-at the top, 2-at the bottom) for the examples shown in Figure 8 [9]
The defect concentration value (DCV) provides information on the distribution of defects within a sewer section, taking into account both their length and position, but does not provide information on the condition class. In order to determine the DCV, the defect lengths as proportions of the total defect length are figured out based on the defect profile (Figure 8). Analogously to the approach used for the potential severity of defect, the DCV is analysed via fuzzy membership functions. At the lower edge of the illustration in Figure 10, the damaged length proportions extracted from the defect profile (Figure 8) are shown in a light grey colour according to their positioning
The blue graph shows the value of the cumulative defect length proportions based on the total defect length. The lower limit of the cumulative defect length proportions of 10 % and the upper limit of the cumulative defect length proportions of 90 % define the defect concentration interval (DC-Interval). The left DC-Interval limit can be found at the intersection of the lower limit and the blue line, while the right DC-Interval limit can respectively be found at the intersection at the top right. The defect concentration value is derived from the product of the DC-Interval (based on the cumulative defect length proportions) and the total defect length based on the length of the sewer section (Equation 5‑2).
With:
DCV = Defect concentration value
X90 = Right limit of the defect concentration interval
X10 = Left limit of the defect concentration interval
TDL = Total defect length
L = Length of the sewer section
Equation 5-2
A low defect concentration value indicates locally limited rehabilitation measures (repair) for the sewer section under inspection. Given a high defect concentration value, on the contrary, defects are scattered along the entire length of the sewer section. In that case, a renovation or replacement of the entire sewer section and thus, much higher rehabilitation expenditure, is required for removal of defects. The conclusion on whether to renovate or replace the sewer section is made based on its fabric decay class.
In order to determine the fabric decay class, both of the parameters – potential severity of defect and defect concentration value – are interlinked via fuzzy logic and logical operators in inference tables.
Based on the degrees of membership of DCV and PSD in the fuzzy sets (“high”, “medium”, “low” etc.) and the algebraic product, fabric decay-related membership functions can be determined. These form the basis for calculating the exact fabric decay class via defuzzification.
Figure 11: Determination of the fabric decay subject to the potential severity of defect and the defect concentration value for the examples shown in Figure 8 [9]
Figure 11 illustrates the correlation of the potential severity of defect and the defect concentration value, based on the complete range of fabric decay values. It becomes clear that compensation effects occur in the process of fabric decay class determination. “Poor” values for the potential severity of defect can partly be counterbalanced by “good” values for defect concentration and vice versa. “Severe” or “minor” fabric decay is defined by similar extreme values in defect concentration and potential severity of defect.
Consequently, sewer sections with defects across their entire length, but without any individual defect in condition class 5 (“very poor”), can be scheduled as being comparable in their fabric decay class to sewer sections with numerous, locally limited individual defects in condition class 5. In addition, it becomes obvious that sewer sections may already have depleted their performance reserve or expected future life, although they do not show peaks in both defect concentration and potential severity of defect.
Figure 12: Example for a fabric decay class distribution (AV = performance reserve) based on the performance objectives of stability, leaktightness and operational safety of a drain and sewer system [9]
From the above analysis, there is the possibility to create a requirements list in STATUSSewer. In contrast to ISYBAU or DWA-M 149, that list is not only based on the condition class, but additionally also on the objects’ fabric decay class. Under the assumption that “the visual inspection and condition assessment are to be made within an adequate, possibly close temporal correlation” [DWAM149-3], the determined requirements list is sufficient to serve as a basis for short-term rehabilitation decisions and, in particular, immediate measures. If this condition is not met, it simply mirrors the actual situation at the time of the inspection(s), but not the actual evaluation moment. A model which can simulate aging and which illustrates the captured condition data on a uniform time horizon is required in order to comply with the requirements.
Literature
[1] Company information S & P Consult GmbH, Bochum (Germany) (Internet: http://www.s-u-p-consult.de/bewerten-managen, viewed on November 2013)
[2] Stein, D.; Ghaderi, S.: Entwicklung eines computerbasierten Systems zur Kontrolle und Beurteilung der Plausibilität von Inspektions- und Bestandsdaten im Rahmen der Auswertung von Wiederholungsinspektionen. Unpublished research report of the „Arbeitsgruppe Leitungsbau und Leitungsinstandhaltung“ of Ruhr-Universität Bochum on behalf of the Ministerium für Umwelt und Naturschutz, Landwirtschaft und Verbraucherschutz des Landes Nordrhein-Westfalen (MUNLV NRW) (Ministry for Environment and Conservation, Agriculture and Consumer Protection of the State of North Rhine-Westphalia), Bochum (2004).
[3] Stein, R.; Trujillo Alvarez, R., Ghaderi, S.: Inspektions- und Bestandsdaten von Entwässerungssystemen – Qualitätssicherung durch analytische Plausibilitätsprüfungen. In: tis – Tiefbau, Ingenieurbau, Straßenbau, Issue 1-2, pp. 32-35 (2005).
[4] DWA-M 149: Zustandserfassung und –beurteilung von Entwässerungssystemen außerhalb von Gebäuden – Teil 3: Zustandsklassifizierung und ‑bewertung (11.2007).
[5] Bundeministerium für Verkehr, Bau und Stadtentwicklung / Bundeministerium für Verteidigung: Arbeitshilfen Abwasser, 2nd Edition with last actualization of June 15th 2011 (Internet: http://www.arbeitshilfen-abwasser.de, viewed on November 2013).
[6] Stein, R.; Trujillo Alvarez, R.; Lipkow, A.: Optimierung des Kanalnetzbetriebes auf Basis haltungsbezogener Substanzprognosen. Publication on UNI-TRACC.de from 11.11.2004 (Internet: http://www.unitracc.de/aktuelles/artikel/optimierung-des-kanalbetriebes-auf-basis-haltungsbezogener-substanzprognosen/view, viewed on November 2013).
[7] Kleiner, Y.,Sadiq, R.,Rajani, B.: Modelling the deterioration of buried infrastructure as a fuzzyMarkov Prozess. In: Journal of Water Supply and Research and Technology: Aqua, Volume 55 no. 2, pp. 67-80 (03.2006)
[8] Kleiner, Y.,Sadiq, R.,Rajani, B: Sewerage infrastructure: fuzzy techniques to manage failures. In: Wastewater Reuse – Risk Assessment, Decision Making and Environmental Security: NATO Security through Science Series, pp. 241-252 (2007).
[9] Company information Prof. Dr.-Ing. Stein & Partner GmbH, Bochum (Germany).
[10] ATV-DVWK-A 127: Statische Berechnung von Abwasserkanälen und ‑leitungen, 3rd edition (08.2000) (revised reprint April 2008).
[11] Stein, R.; Trujillo Alvarez, R.; Lipkow, A.: Infrastruktur erhalten mit immer weniger Geld. In: Abwassertechnische Vereinigung ATV (org.): 3. ATV-Sanierungstage (Feuchtwangen 2004).
[12] Stein, R.; Trujillo Alvarez, R: Strategieentwicklung zum Betrieb und Unterhalt von Entwässerungssystemen – lassen sich die Aufgaben kostengünstig managen? In: Schriftenreihe des Instituts für Rohrleitungsbau Oldenburg, Band 28, Vulkan Verlag, Essen (2004).
[13] Stein, R.; Trujillo Alvarez, R.; Lipkow, A.: Optimierung des Kanalbetriebes auf Basis haltungsbezogener Substanzprognosen. In: Ernst & Sohn – Special 3/04. Kanal- und Rohrleitungsbau – Sanierung von Kanälen und Rohrleitungen. Berlin, (2004).
[14] DIN 31051: Grundlagen der Instandhaltung (09.2012)
The following links will take you to the first and third part of the article:
More News and Articles
Aug 07, 2025
News
Kanalgipfel 2025: Netzweite operative Bedarfsplanung mittels individuellem Sanierungskosten- und Entscheidungsmodell
Die Entwässerungssysteme unserer Städte sind ein wesentlicher Bestandteil des kommunalen Anlagevermögens. Die große Zukunftsaufgabe, …
May 26, 2025
News
Kanalgipfel 2025: Smart Processing – mit KI-Technologien von der Kanalinspektion bis zur Sanierungsstrategie
Die Entwässerungssysteme unserer Städte sind ein wesentlicher Bestandteil des kommunalen Anlagevermögens. Die große Zukunftsaufgabe, …
May 12, 2025
News
Kanalgipfel 2025: Stand der Kanalsanierung in Deutschland – Eine kritische Betrachtung
Die Entwässerungssysteme unserer Städte sind ein wesentlicher Bestandteil des kommunalen Anlagevermögens. Die große Zukunftsaufgabe, vor der viele Kommunen …
Aug 28, 2024
News
ITpipes Secures $20M to Transform Water Infrastructure Management
ITpipes announced it has secured $20 million in equity financing from Trilogy Search Partners and Miramar Equity Partners.
Known for its trusted and user-friendly platform, ITpipes …
Aug 26, 2024
News
Professor Dr.-Ing. Dietrich Stein
With deep sadness we announce the loss of our founder and partner Prof Dr Dietrich Stein at the age of 85.
Engineers around the globe are thankful for his dedication to the inventions in the fields of sewers, …
Aug 26, 2024
News
PPI Releases New Installation Guide for PE4710 Pipe
PPI’s MAB-11-2024 Covers HDPE Water Pipelines Up to 60-in. Diameter and 10,000-ft Long Pulls
Developed by the Municipal Advisory Board (MAB) – and published with the help of the members of the …
Aug 23, 2024
News
Faster wide-scale leak detection now within reach
Mass deployment of connected leak loggers is being made possible by the latest technology, writes Tony Gwynne, global leakage solutions director, Ovarro
Water companies in England and Wales are …
Aug 21, 2024
News
Kraken awakens customer service potential in water
The innovative customer service platform Kraken has made a successful transfer from energy to water. Ahead of their presentation at UKWIR’s annual conference, Portsmouth Water chief executive …
Aug 19, 2024
News
Predicting the toxicity of chemicals with AI
Researchers at Eawag and the Swiss Data Science Center have trained AI algorithms with a comprehensive ecotoxicological dataset. Now their machine learning models can predict how toxic chemicals are …
Aug 16, 2024
News
Goodbye water loss: Trenchless pipe renewal in Brazil
Pipe renewal in Brazil
How do you stop water loss through leaks in old pipe systems without major environmental impacts and restrictions? The answer: with trenchless technology, or more precisely …
Aug 14, 2024
Article
Impact of high-temperature heat storage on groundwater
In a recently launched project, the aquatic research institute Eawag is investigating how the use of borehole thermal energy storage (BTES) affects the surrounding soil, the groundwater …
Aug 12, 2024
News
Watercare completes East Coast Bays sewer link
Watercare has successfully finished the final connection on the East Coast Bays link sewer at Windsor Park in New Zealand.
Much of the East Coast Bays sewer link was installed using horizontal directional …
Contact
S & P Consult GmbH
Dr.-Ing. Robert Stein
Konrad-Zuse-Str. 6
44801 Bochum
Germany
Phone:
+49 234 5167 - 113
Fax:
+49 234 5167 - 109
