Auswirkungen des Berstverfahrens auf die Umgebung
Im Gegensatz zu den statisch arbeitenden hat bei den dynamisch arbeitenden Berstverfahren die kinetische Energie des Schlagkolbens im Inneren des Berstkörpers Erschütterungen zur Folge, die auf die Umgebung übertragen werden und verbunden sein können mit:
- hohen Geräuschpegeln,
- unkontrollierten vorauseilenden Zerstörungen oder Einstürzen des zu erneuernden Kanals,
- ungewollter Verdichtung des Bodens im Bereich der Leitungszone in Verbindung mit Setzungen der Straßenoberfläche bzw. benachbarter Leitungen.
Die erforderliche Berstkraft richtet sich nach
- der Bruchfestigkeit des alten Rohres,
- der Verdrängungsfähigkeit des Bodens in der Leitungszone und
- dem Aufweitungsverhältnis.
Die Bruchfestigkeit eines zu erneuernden Rohres ergibt sich aus Schadensart und -umfang, der Art der Lasteintragungen in den Rohrquerschnitt und der Zug- bzw. Druckfestigkeit des Rohrwerkstoffes. Die Verdrängungsfähigkeit des Bodens ergibt sich im wesentlichen aus seiner Verdichtbarkeit. Als Haupteinflußfaktoren können angesehen werden:
- Bodenart,
- Lagerungsdichte bzw. Konsistenz,
- Überdeckungshöhe,
- Primärspannungsniveau und
- Spannung- und Dehnungsgeschichte.
Bild 5.4.3.5.3-1:
Erforderlicher Berstdruck als Funktion der Scherfestigkeit in Abhängigkeit zur Bodenspannung [ORour85c] |
Bild 5.4.3.5.3-2:
Geometrische Verhältnisse bei einer Aufweitung im ideal elasto-plastischen Ton [ORour85c] |
Bild 5.4.3.5.3-3:
Qualitative Beschreibung des dynamischen Berstverfahrens in Anlehnung an [Falk95b] [Quelle: STEIN Ingenieure GmbH] |
Erste Untersuchungen bezüglich des zur Bodenverdrängung erforderlichen Berstdruckes wurden von O'Rourke [ORour85c] durchgeführt. Sie basieren auf der Grundlage theoretischer Überlegungen am Beispiel eines elastoplastischen Tons (Bild 5.4.3.5.3-1) . Sie zeigen, daß mit zunehmender Bodensteifigkeit, ausgedrückt durch E/Sω, der erforderliche Berstdruck zunimmt und um ein Vielfaches über der Primärspannung liegt. Das Verhältnis erforderlicher Berstdruck/Primärspannung steigt mit abnehmender Überdeckung.
Als Folge der Einleitung des Berstdruckes in den umgebenden Boden kommt es zur Ausbildung einer plastischen Zone in radialer Richtung mit dem Radius Rp (Bild 5.4.3.5.3-2) . In dieser Zone herrscht ein gegenüber dem Primärzustand erhöhtes Spannungsniveau, das sich mit zunehmender Entfernung zur erneuerten Leitung wieder dem Ausgangszustand annähert. Dieses erhöhte Spannungsniveau kann bei sich in der plastischen Zone befindlichen Bauwerken, wie z.B. benachbarten Ver- und Entsorgungsleitungen, zu Verformungen, Setzungen oder zusätzlichen Belastungen führen. Diesbezügliche Einwirkungen sind daher bei der Bauausführung zu berücksichtigen.
Dem Problem der Bodenverformungen infolge dynamisch arbeitender Berstverfahren widmeten sich an der Ruhr-Universität Bochum durchgeführte Untersuchungen in einem großformatigen Versuchsstand unter In-situ-Bedingungen mit gleichförmigen, nichtbindigen Böden [Falk95b] [Falk95a] [Falk94a] [Falk92] .
Die entwickelte geotechnische Modellvorstellung sieht zwei aufeinander folgende Phasen vor (Bild 5.4.3.5.3-3) . In der ersten Phase, dem sogenannten Sekundärzustand I, erfolgt das Bersten der zu erneuernden Leitung und ein radiales Verdrängen der Scherben und des umgebenden Bodens. Hiernach entspannt sich der Boden durch den Überschnitt, d.h. der Querschnittsdifferenz und des hierdurch bedingten Ringraumes zwischen dem Berstkörper und dem nachfolgenden Mantel- oder Produktrohr. Der so entstandene, in Abhängigkeit der jeweiligen Randbedingungen vorübergehend standfeste Hohlraum stürzt ein. Es kommt zu einwärts gerichteten Bodenverschiebungen und zu einem Anlagern der Scherben und des Bodens an die neue Leitung. Diese zweite Phase wird als Sekundärzustand II bezeichnet.
Durch eine auf der Basis der Pressiometer-Theorie von Baguelin [Bague87] abgeleiteten Modellvorstellung kann der Spannungszustand in der Umgebung der Leitung aufgrund der dynamischen Hohlraumaufweitung, d.h. im Sekundärzustand I des dynamischen Berstverfahrens ermittelt werden. Hiernach ergibt sich nach [Falk95b] eine ellipsenförmige plastische Bodenzone (Bild 5.4.3.5.3-4) (Bild 5.4.3.5.3-5) , die von mehr oder weniger starken Spannungsänderungen und Bodenverschiebungen gekennzeichnet ist. Ihre Ausdehnung in vertikaler Richtung überschreitet die in horizontaler Richtung um so mehr, je größer das Verhältnis zwischen vertikalem und horizontalem Erddruck ist.
Bild 5.4.3.5.3-4:
Spannungsverläufe im Zuge der Aufweitung in der elastischen und plastischen Zone [Falk95b] |
Bild 5.4.3.5.3-5:
Qualitativer Verlauf der plastischen Zone beim dynamischen Berstverfahren [Falk95b] |
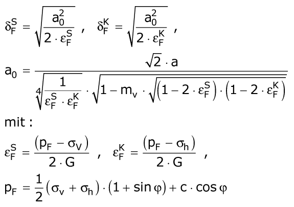
Die Ausdehnung der plastischen Zone (Bild 5.4.3.5.3-5) läßt sich aus Pressiometertheorien [Bague87] ableiten. Der Rechengang ist für einen homogenen Primärspannungszustand in [Falk92] dargestellt. Er basiert auf der Lamè-Lösung für eine Gleichgewichtsbetrachtung in radialer und tangentialer Richtung und der Mohr'schen Bruchbedingung. Für einen inhomogenen Primärspannungszustand σv ≠ σh ergeben sich im Gegensatz zu früheren Berechnungen [Falk92] unterschiedliche Ausdehnungen der plastischen Bodenzone δFs, δFk sowie Radial- und Tangentialspannungen im Scheitel (S) und in den Kämpfern (K) der neuen Leitung (Bild 5.4.3.5.3-4) . Für einen kompressiblen Boden erhält man:
δF - Radius der plastischen Bodenzone im Sekundärzustand I im Scheitel (S) und in den Kämpfern (K)
εF - elastisch-plastische Grenzdehnung im Scheiten (S) und in den Kämpfern (K)
mv - Verhältnis des Volumens eines deformierten Bodenelementes im Sekundärzustand I zum Ursprungsvolumen
a - Radius eines Kreises, der flächengleich mit der verdrängten Querschnittsfläche ist
a0 - Radius eines Kreises, der flächengleich mit der verdrängten Querschnittsfläche abzüglich der Bodenkontraktion ist
G - Schubmodul des Bodens
σv - vertikale Bodenspannung in der Rohrachse im Primärzustand
σh - horizontale Bodenspannung in der Rohrachse im Primärzustand
c - Kohäsion des Bodens
φ - innerer Reibungswinkel des Bodens
Voraussetzungen für die Anwendung des Berechnungsverfahrens sind eine ausreichende Überdeckung der zu erneuernden Leitung, deren erforderlicher Mindestwert mit einem von Falk [Falk95b] [Chapm96] entwickelten Aufbruchmodell berechnet werden kann, und die Abschätzung der Kontraktion des Bodens in der Rohrumgebung. Diese Abschätzung kann aufgrund von In-situ-Beobachtungen bzw. -messungen beim Einsatz des dynamischen Berstverfahrens oder basierend auf der Verdichtungsfähigkeit des anstehenden Bodens erfolgen. Sie hängt im wesentlichen ab von dem Verhältnis der vorhandenen zur dichtesten Lagerung, dem Ungleichförmigkeitsgrad, der Primärspannung, der Bodenart sowie Maschinenparametern, wie Schlagenergie und Geometrie des Berstkörpers.
Zur Vermeidung unzulässiger Hebungen an der Geländeoberfläche soll nach [Miege90] die Überdeckungshöhe des zu erneuernden Kanals in Abhängigkeit der Hohlraumaufweitung mindestens das 3 bis 6-fache der Nennweite des zu erneuernden Kanals betragen.
Theoretische Untersuchungen bezüglich der Ausdehnung der plastischen Zone, durchgeführt von O'Rourke [ORour85c] , zeigen die Abhängigkeit des Radius der plastischen Zone von dem Maß der vorgenommenen Hohlraumaufweitung ua sowie der Bodensteifigkeit (Bild 5.4.3.5.3-6) . Eine Zunahme der Hohlraumaufweitung ua/a bewirkt einen überlinearen Anstieg des Verhältnisses Rp/a.
Bild 5.4.3.5.3-6:
Radius der plastischen Verdichtungszone als Funktion der Größe der vorgenommenen Aufweitung [ORour85c] |
Ein Vergleich der auftretenden Bodenverschiebungen ergab für statisch und dynamisch arbeitende Berstverfahren ähnliche Werte. Werden erstere in rolligen Böden eingesetzt, ist aufgrund der fehlenden dynamischen Verdichtungswirkung mit größeren Bodenverschiebungen zu rechnen [Zimme88] .
Ein allgemeines Verfahren zu Berechnung von Bodenverformungen, verursacht durch die Erneuerung einer Leitung mittels dynamischer Berstverfahren, entwickelten Rogers/O'Reilly [Roger91] im Jahre 1991. Das Berechnungsverfahren baut, wie auch eine verbesserte Weiterentwicklung von Chapmann/Rogers [Chapm91] , auf dem Modell von Sagaseta [Sagas87] auf. Grundlagen des Modells sind die Beschreibung des Bodens als ein Fluid und die Berechnung von Bodenverformungen nach den Gesetzen der Strömungsmechanik. Obwohl es zum Teil die Auswirkungen auf die Geländeoberfläche, insbesondere bei geringen Überdeckungshöhen überbewertet (Bild 5.4.3.5.3-7) , ist es durchaus geeignet, die Auswirkungen des dynamischen Berstverfahrens auf die Umgebung abzuschätzen. Weitere Untersuchungen von Rogers [Roger96] und Chapmann [Chapm96] zeigen eine gute Übereinstimmung zwischen theoretischen Modellrechnungen und den Ergebnissen von Großversuchen.
Um Schäden an benachbarten Leitungen zu vermeiden, sollten die Abstände so groß sein, daß die Anforderungen nach DIN 4150 "Erschütterungen im Bauwesen" [DIN4150] eingehalten werden.
Im Rahmen einer Erneuerungsmaßnahme durchgeführte Messungen ergaben eine maximale Schwingungsgeschwindigkeit von 9 mm/s, während der zulässige Wert nach DIN 4150 [DIN4150] bei 15 mm/s lag [Keune89] .
Weitere Untersuchungen über mögliche Einflüsse auf Gebäude und benachbarte Hochspannungskabel sind in [Zimme88] aufgeführt. Die ermittelten Werte für die Schwingungsgeschwindigkeit lagen in allen Fällen weit unterhalb der zulässigen Werte.
