Querschnittsverformungen aus Längsbiegung
Dünnwandige Rohre versagen unter Biegung durch Beulen [Seide61] [Axelr83b] , wie auch in Versuchen bestätigt wurde [Spenc79] [Brazi27] .
Eine theoretische Einführung und Literaturübersicht gibt [Axelr80] .
Im Zustand der Vorbeulverformung tritt zusätzlich eine nicht zu vernachlässigende Verformung des Rohrquerschnittes (Ovalisierung) in Verbindung mit der elastischen Verkrümmung auf. Diese nichtlineare Biegung von Rohren - das sog. Brazier-Problem [Brazi27] - wurde in der Vergangenheit meist ohne Bezug zur Beulstabilität betrachtet [Reiss59] [Wood58] .
Zylinderschale unter kritischer Biegebelastung nach [Axelr83b]
Im (Bild 2.7.7-1) ist die Überlagerung beider Versagensformen nach [Axelr83b] für das kurze gebogene Rohr dargestellt.
Das geometrisch-statische System des längsgebogenen Rohres wird dabei durch die Wanddicke d, den Rohrradius R, den Biegeradius r, den Innendruck p sowie den Elastizitätsmodul E und die Biegesteifigkeit B bestimmt.
Die gebrauchstechnischen Anforderungen an Kanalhaltungen sehen bereits in der Planung im Zusammenhang mit der Nutzung als Freispiegelleitung ein konstantes Gefälle sowie einen geradlinigen Trassenverlauf vor [Stein95j] .
Beanspruchungen aus Längsbiegung gelten daher für biegeweiche Rohre i.a. als vernachlässigbar [Larjo80] , so daß in der Bemessungspraxis dieses Verhalten nur bei außergewöhnlichen Zwängen während des Einbaus [ATVA161] oder in den Nachweisen für den Transporttrommelradius gerollter Kunststoffrohre [Janso89] berücksichtigt wird.
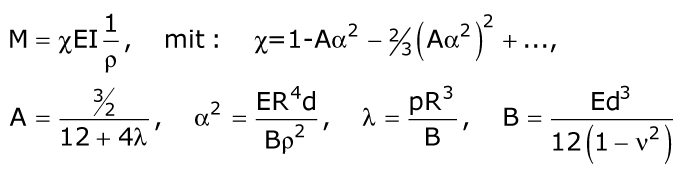
Abweichungen von der Planung, bedingt durch unvorhergesehene Setzungsdifferenzen, Bergsenkungen oder fehlerhaften Einbau, lassen sich aber nie gänzlich ausschließen. Im Falle nicht planmäßiger Längsbiegung kann jedoch davon ausgegangen werden, daß sich das Rohr noch in einem Vorbeulzustand befindet, der ausreichend genau durch die Beziehungen der nichtlinearen Biegung des langen Rohres beschrieben werden kann [Bosse97] [Reiss59] :
Reissner gibt in [Reiss59] auch eine Gleichung zur Berechnung der vertikalen Verformung δv an entsprechend
Die Vertikalverformung δv ist damit im drucklosen Fall vom Elastizitätsmodul E unabhängig und wird geringfügig von der Querdehnungszahl ν beinflußt.
Die mit den o.a. Gleichungen dargestellte Lösung Reissners sowie andere schalentheoretische, exaktere Lösungen wurden von Bosseler in [Bosse97] auch mit FEM-Berechnungen verglichen.
Verformungsentwicklung des Querschnitts in Abhängigkeit von α; (λ = 0) nach [Bosse97]
Die bei verschiedenen Krümmungen a auftretenden Querschnittsfiguren des drucklosen Rohres sind im (Bild 2.7.7-2) dargestellt.
Die Ergebnisse nach [Bosse97] unterstreichen, daß die Qualität des Reissner-Ansatzes nicht grundsätzlich gleichzusetzen ist mit der Anzahl der berücksichtigten Näherungsglieder höherer Ordnung. Allerdings sind die Abweichungen im Vorbeulbereich vernachlässigbar klein. Weitere Hinweise zur Ermittlung der Traglasten von Rohren unter verschiedenen Randbedingungen, Vorkrümmungen und Imperfektionen finden sich in [Walz69] .
Praxisorientierte Untersuchungen erdverlegter Abwasserleitungen [Bosse97] lassen zwar einen vernachlässigbar kleinen Einfluß des Längsbiegeverhaltens auf die Querschnittsverformung vermuten, aufgrund der geringen Datenmenge ist eine Verallgemeinerung jedoch nicht zu empfehlen. Für den Fall planmäßiger Längsbiegung ist auch der Einfluß der realen Erddruckverteilung sowie der Bettungsreaktionskräfte auf die Querschnittsverformung zu berücksichtigen. Eine Erweiterung der Betrachtung auf die sich verstärkt durchsetzenden Rohrtypen mit profilierter Wandung erfordert besondere Überlegungen.
